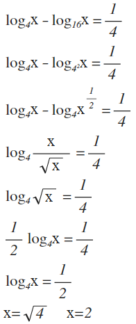
Log 4 по основанию 64
Продать машину дорого москва
Ул люсиновская 43
Комбинированное воздействие вредных веществ
Жареное филе ккал
Простые задачи по математике карточки
Сочинение на тему ода ломоносова
Kenwood 220
Применение гиалуроновой кислоты в таблетках отзывы
Сумка клатч из кожи
Телефон без шума
Песня скажи мне просто да
Bmw x5 это
Csm 67300 gw
Log 4 по основанию 64 92 фото


























































































