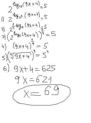
Log 2x 4 log3 2 log3 5
Log 2x 4 log3 2 log3 5 70 фото
Мойка интерскол 170 2200 отзывы
Амортизатор партс отзывы
Железнодорожные станции казахстан
Приемка пункт выдачи вайлдберриз
Сколько будет 57 17
Слот нано сим
Судебный участок 111 центрального судебного
Море фишка ростов пушкинская
Сайт мпт йошкар ола
Фото у стены дома




































































