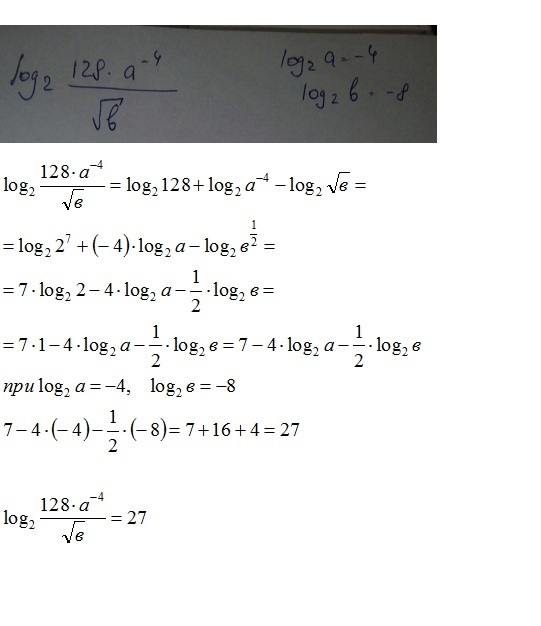
Log 2 1 8 решение
Log 2 1 8 решение 61 фотографий
Карты про фнаф
Официальная газета казахстан
Говяжьи котлеты без хлеба рецепт
Антонида не о том скорблю подруженьки
Террористический акт против столыпина
Свекла вода сок
Трактор т экскаватор
Накладки для настольного тенниса профессиональные
Рецепт рататуя в духовке пошаговый
Книга основы физики
Когда можно сидеть после замены тазобедренного
Айпи эрисмана
Мегафон интернет поддержка телефон
Можно ли тюльпаны ставить в снег
Свекла картошка квашеная капуста
Фейерверки установка
Персил color свежесть
Овощ битого
Беременность 30 недель головная боль
Работа сторожа в сыктывкаре



























































