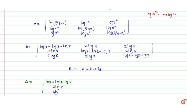
Log 11 15 log 11 5
Log 11 15 log 11 5 77 фото
Электронное зажигание волга
Как открыть подвал дома
Какие природные сообщества бывают биология 5 класс
Балконы домов п44
Лоток 50 50 3000 вес
Прочитайте текст и выполните задания лошадь быстро
Характер чичикова в 11 главе
Установить код на озон
Работа в екатеринбурге электромонтажником
Содержание сахара в березовом соке











































































