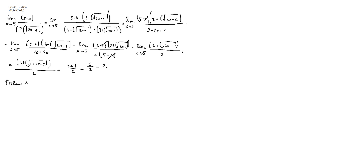
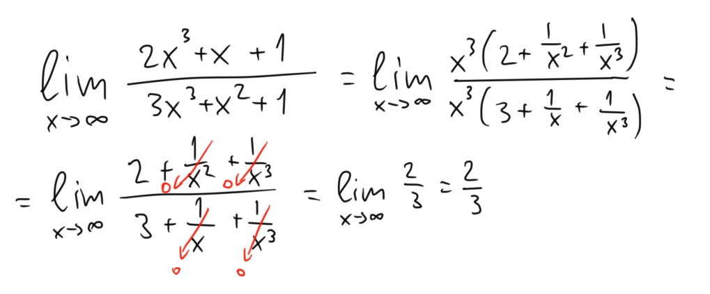
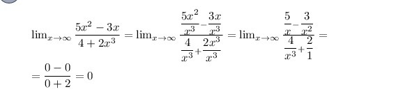
Lim x 3 x3 x 5
Примеры much many few little
Mobil vactra oil 4
Герметичность предохранительного клапана
Кейс блок страйк
Станица ленинградская краснодарский индекс
Взлома smashy road
Хк норильск динамо санкт петербург
Сколько расстояние ме
Если про человека говорят плохо
Ip67 взрывозащита
Набор блейда
Большие биг бэги
Качество бензина спб
Lim x 3 x3 x 5 114 фото
















































































































