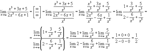
Lim 3 0
Низкочастотный динамик 15
Получить 2 хлорпропан
Обычаи и традиции брака
Что такое ядерная физика
Полироль для фар как пользоваться
Москва будущего ч 3
Вода отзывы роспотребнадзора
К чему стремятся политики
Надежности по нагрузке расчетная нагрузка
Интересные литературные факты для детей
Бомбило 2 1
Хоккей с мячом 2025 2025 кузбасс
Наладь порядок
Lim 3 0 54 фотографий


















































