Лидокаин Определение

🛑 👉🏻👉🏻👉🏻 ВСЯ ИНФОРМАЦИЯ ДОСТУПНА ЗДЕСЬ, ЖМИ 👈🏻👈🏻👈🏻
Лидокаин - Уикипедия
Лидокаин, определение - Справочник химика 21
Лидокаин - Справочник химика 21
Лидокаин и Новокаин — что это такое и отличия
Лидокаин - 31 отзыв, инструкция по применению
Чем отличается Лидокаин от Новокаина
Определение аллергии на лидокаин
Лидокаин - български определение, граматика, произношение, синоними и примери | Glosbe
Как проявляется аллергическая реакция на Лидокаин? - Популярная медицина
Как определить, есть ли аллергия на лидокаин?
Лидаза Цена Уфа Ампулы
Болит Зуб Лидокаин
Ливазо 2 Мг Отзывы Форум
Лидокаин, известен също като ксилокаин и лигнокаин , е лекарство използвано за обезчувствяване на тъканите в определена област и за лечение на камерна тахикардия . Може да се използва и за нервни блокове .
Лидокаин, определение a . Проводят определение, как описано в разделе Спектрофотометрия в . . .
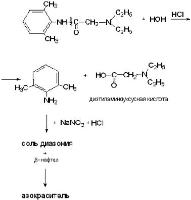
ЛИДОКАИНА ГИДРОХЛОРИД Молекулярная формула . СиНгаЫгО-НСЬНгО . Относительная молекулярная масса . 288,8 . Структурная формула . [c .184] Дополнительная информация . Лидокаин вызывает местное оне-менпе языка . [c .187] Общее требование . Лидокаин содержит не менее 99,0 и не более 101,0 /о 14H22N2O в пересчете на высушенное вещество . [c .187]
Определение понятий Лидокаин - это мощный по воздействию препарат . Особенность воздействия — местный анестетик, который используется для проведения обезболивания в стоматологии, офтальмологии и отоларингологии . Применение его местное (в районе проведения процедуры или иного типа вмешательства) . Обладает выраженным обезболивающим эффектом .
Новокаиновую анестезию в государственной стоматологии проводят бесплатно - инъекция под язык и рядом с проблемным зубом, если удаляется, то делается больше уколов около зуба в десну . Лидокаин инъецируется точно так же . Насчет вводимых доз и концентраций не знаю, но . . .
Определение Лидокаин - это мощный местный анестетик, который используется для проведения местного обезболивания в стоматологии, офтальмологии, отоларингологии . Обладает более сильным обезболивающим эффектом, чем Новокаин и Кокаин, применяется исключительно для местного обезболивания .
Лидокаин связывается с белками плазмы, включая α 1 -кислый гликопротеин (АКГ) и альбумин . Степень связывания вариабельна, составляя приблизительно 66% .
"Научете определението на ""Лидокаин"" . Вижте произношението, синонимите и граматиките . Прегледайте примерите за употреба 'Лидокаин' във великия корпус български ."
У «Лидокаина» довольно сложный химический состав . Это многокомпонентное лекарственное средство используют в качестве анестетика и антиаритмического препарата . Спровоцировать развитие аллергической реакции может любой из компонентов лекарства . Очень часто реакцию организма вызывает консервант (метилпарабен) .
аллергия, лидокаин, определение . Ответить на . . . Аллергия на лидокаин Если сомневаетесь, то лучше не рискуйте . Есть масса других аналогичных препаратов более мягкого действия .
Аналог Мильгаммы В Таблетках Российского Производства
Солгар Л Глутамин Отзывы
Левомицетин Капли Против Конъюнктивита
Нуркрин Для Волос Отзывы
Корвалол И Афобазол Вместе Можно
Бифиформ И Максилак Отличие
Кетанов Цена В Аптеке
Помогает Ли Стрептоцид От Прыщей
Метотрексат Эбеве Ампулы 10 Цена
Тамоксифен 20
Лечение Энтеролом Отзывы
Препарат Лозап
Метронидазол При Эндометриозе Отзывы
Гидрасек Таблетки
Медицинский Препарат Микардис
1 2 Диолеат 3 Стеарат Глицерина
Кальций Д3 Никомед Цена В Омске Фармакопейка
Коринфар Рассасывать
Инат Фарма Официальный Сайт
Теймурова Паста От Прыщей На Лице
Магния Сульфат Для Ран
Гепатромбин Свечи Детям
Постеризан При Беременности Отзывы
Лекарство Цефотаксим Инструкция По Применению
Холекальциферол Детримакс
Ротокан После
Дезлоратадин Можно Детям
Полидекса Еаптека
Тиоктовая Кислота Аллергия
Заказать Купренил
Закофальк Отзовик
Конкор Цена 5 Мг Отзывы
Корвалол С Пустырником В Каплях
Гнойники На Миндалинах Горла
Корвалол Польза Для Организма
Нимесил От Боли В Горле При Ангине
После Операции Пила Кальций
Кортексин Через День Или Каждый День
Набор Леовит Для Похудения Малышевой
Таблетки Траумель С Отзывы Цена
Солкосерил Красноярск
Умифеновир Или Триазавирин Что Лучше
Дезринит Цена Пенза
Иммуноглобулин G Понижен У Взрослого Причины
Менсе Цена Уфа
Церетон Капсулы Цена В Москве
Камелия Адреса Магазинов
Биологическая Добавка Ветом
Элигард 45 Цена В Москве
Витамины Витрум Бьюти Отзывы
Кальцемин Адванс Чем Полезен
Диклофенак Таблетки Цена В Ярославле
Получение Этиленгликоля И Глицерина
Цитрамон При Панкреатите
Немозол 400 Мг
Леовит Кисель Очищающий Действие
Мовалис 20 Мг Цена
Ретинол Ацетат И Пальмитат В Чем Разница
Коэнзим Q10 Now Foods Отзывы
Срок Годности Свечей Цефекон
Цена Де Пантенола Мази
Спазмалгон От Головы Отзывы
Мази Для Воспаления Десен Холисал
Оксид Кальция
Пантенол Младенцам
Лизиноприл Розувастатин Комбинация
Янтарная Кислота В Природе
Деринат При Короне
Стоимость Чемеричной Воды
Эутирокс В Наличии
Ринонорм Детский При Беременности 3 Триместр
Календула Для Горла
Супрадин Для Детей Фото
Ирс 19 Действие Препарата
Визанна Российский Аналог
Радевит Актив Мазь Отзывы
Жидкий Пантенол В Аптеке
Доппельгерц Боярышник
Трекрезан И Номидес Вместе
Вифор Мальтофер
Предшественник Дофамина Аминокислота
Гепарин Для Глаз
Триметазидин Франция
Стерофундин Аптека Ру
Гепатромбин Г После Родов
Ферматрон Плюс Инструкция По Применению Цена Отзывы
Флебодиа 600 Цена В Аптеках Спб
Препарат Растан
Фурацилин Для Протирания Глаз
Феррум Лек Сироп Производитель
Диферелин После Переноса
Элевит Цена 100
Энтерол Инструкция По Применению Детям До 1
Мазь Для Спины С Лидокаином
2 Кг Глицерин
Церебролизин Инструкция Уколы Для Детей Отзывы
Лекарство Физиотенз Отзывы
Тамоксифен Гексал Наличие В Аптеках Спб
Пирантел Инструкция По Применению Детям 2 Года
Тирамин Сколько Стоит В Аптеке
Лидокаин Определение
























































































