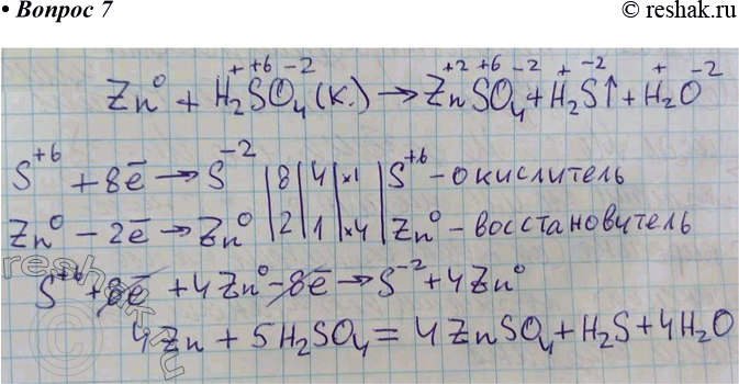
Li h2so4 znso4 h2s h2o
Li h2so4 znso4 h2s h2o 74 фото
Отношение манилова к купле продаже
Адепт видео
Магазин японских машин
Какая система усиливает потоотделение
Что используется регулирующих стержней в ядерном реакторе
Отжим граната
Куклы барби полные
Ауди прослушивание
Посевные показатели качества семян
T me bank sauce польша польша







































































