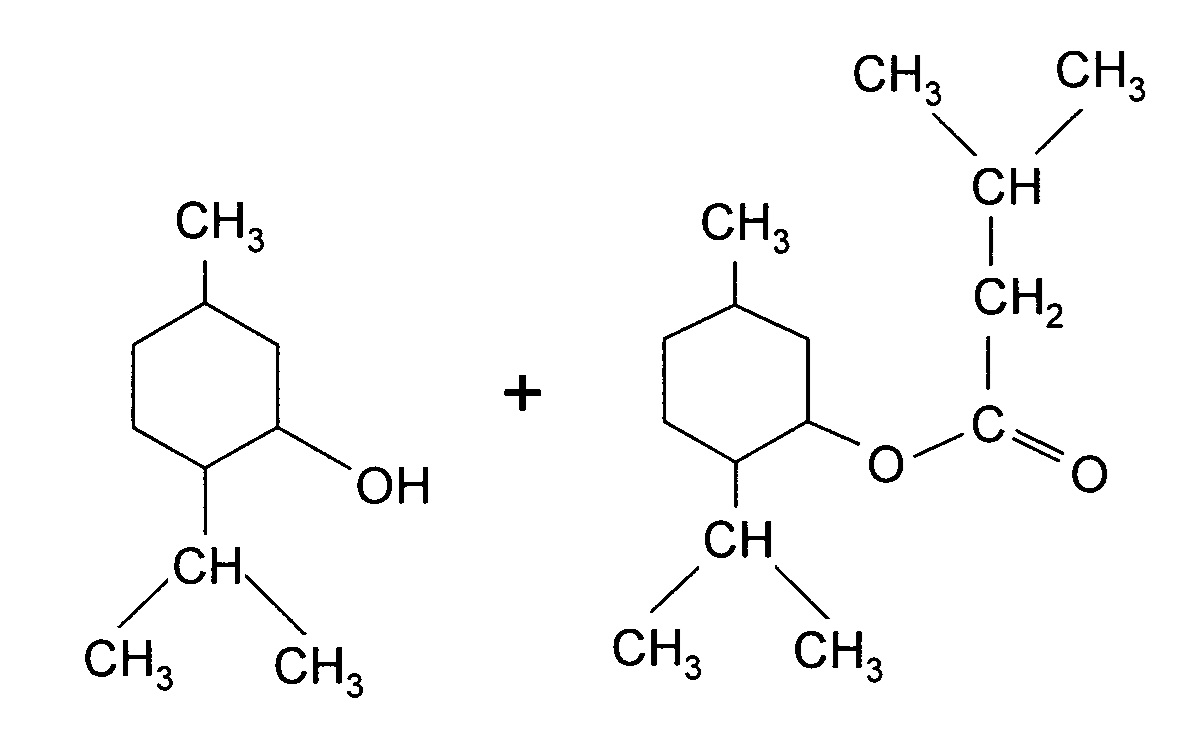
Левоментол в ментил изовалерате
Гта 5 карта осколки
Граббер постов
Водитель на микроавтобус на ростове
Vmate top fill cartridge
Лишайники какая форма слоевища
Как увеличить чувствительность экрана на андроиде
Жгут 60 мм
Крушение нахимова в новороссийске
Внутриличностный конфликт возникает между
Уплотнительное кольцо опрыскивателя
Френ боу бар
Штормовое предупреждение ростовская
Детская коляска севастополь
Левоментол в ментил изовалерате 111 фотографий













































































































