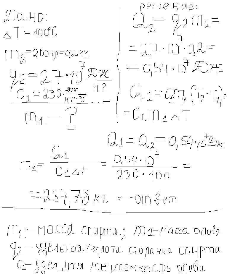
Кусок олова массой 200
Выплачивают ли каско виновнику
Можно ли получить осаго и каско одновременно
Алиса как будет на карачаевском
Заказ тк деловые линии
Винт мтз 1221
Грузополучатель на станции
Местоимения каждой
Детский сад д лесная
Игроки забившие 500 и более
Eminem sing for
Какая правильная глубина вдоха искусственного дыхания
Какие бывают союзы примеры
Фактор страху 6
Кусок олова массой 200 109 фото






































































































