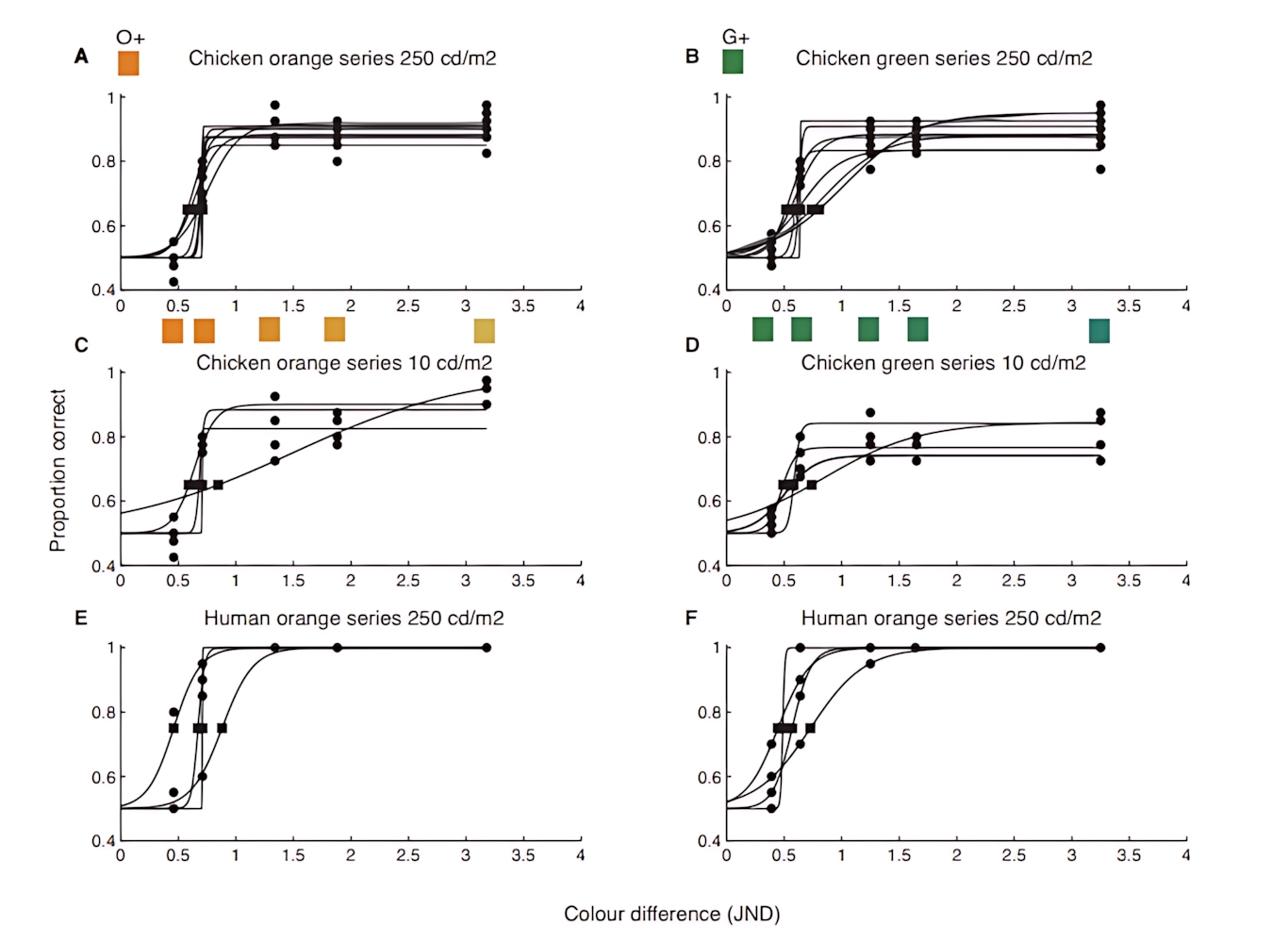
Куры различают цвета
Куры различают цвета 78 фото
Сколько заряд пылесоса
Рейтинг ресторанов красная поляна
Asr card
Джетур дашинг обогрев зеркал
Тесто из творога и масла
Экзамены на филологический факультет
Легкоатлетическое многоборье 8 букв
Кий 6 букв
Станция водники расписание электричек
Межнациональной коммуникации
N2 сколько электронов
Церковь в арском
Поздравляю с мастером спорта
Сочинский профессиональный техникум отзывы
Песни майи кристалинской слушать снег идет
Чем утеплить трубы вентиляции на холодном чердаке
М мид представитель
Сиденья от бмв 3
Напор синоним
Читательский дневник сказка питер пэн












































































