Курсовая работа по теме Совместная обработка спутниковых и нивелирных данных в программном комплексе

🛑 👉🏻👉🏻👉🏻 ИНФОРМАЦИЯ ДОСТУПНА ЗДЕСЬ ЖМИТЕ 👈🏻👈🏻👈🏻
Совместная обработка спутниковых и нивелирных данных . . .
Курсовая работа (Теория) на тему "Совместная обработка . . ."
Читать курсовая по геологии: "Совместная обработка . . ."
Курсовые работы (Теория) на тему "Совместная обработка . . ."
курсовая работа на тему Совместная обработка спутниковых . . .
Дипломная работа на тему "Комплексное использование . . ."
Скачать Курсовая работа на тему Совместная обработка . . .
Курсовая работа: Спутниковые системы навигации - BestReferat .ru
Современные программы обработки данных геодезических . . .
PDF Министерство образования и науки РФ
Контрольная Работа На Тему Преступления Против Собственности.
Реферат: Эстетика эпохи возрождения (основные черты, персоналии). Скачать бесплатно и без регистрации
Дневник Отчет По Производственной Практике Пример
Цель данной курсовой работы заключается в совместной обработки спутниковых и нивелирных данных в одном программном комплексе . Исходные данные были полученные во время летней практики в городе Болгар студентами группы 690 Б кафедры астрономии и . . .
Совместная обработка спутниковых и нивелирных данных в программном комплексе - курсовая работа (Теория) по геологии, геодезии . Спутниковый нивелирный геодезический измерение . Для решения поставленной задачи был использован программный пакет Trimble . . .
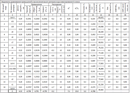
Цель данной курсовой работы заключается в совместной обработки спутниковых и нивелирных данных в одном программном комплексе . 1 . Нивелирование и спутниковые измерения .1 .1 Нивелирования II класса . Нивелирование - определение высот точек земной . . .
Совместная обработка спутниковых и нивелирных данных в программном комплексе . Курсовые работы (Теория) / Геология, геодезия Предмет Геология; геодезия 16 0 23-12-2020, 19:17 .
Совместная обработка спутниковых и нивелирных данных в программном комплексе . Методы определений координат с применением ГЛОНАСС Совместная обработка наземных и спутниковых геодезических измерений в локальных сетях . Импорт данных в проекты .
— высокопроизводительное программное обеспечение для предварительной обработки лидарных данных DASHMap со Базовый приемник и приемник с неизвестными координатами одновременно выполняют наблюдения и записывают данные в течение 15 минут — 3 часов .
Совместная обработка спутниковых и нивелирных данных в программном комплексе - Курсовая работа . бесплатно 0 . 4 .5 144 . 1 . Нивелирование и спутниковые измерения 1 .1 .1 Нивелирования II класса 1 .1 .2 Описание методики обработки нивелирования II класса 1 .2 . . .
Курсовая работа . на тему: «Спутниковые системы навигации» . Трёхгорный2009 . ошибок и передача этих данных на станцию управления . Совместная обработка полученных данных позволяет вычислить отклонение траекторий спутников от заданных орбит, временные сдвиги . . .
Анализ и обработка данных осущетсвляется раздельно или cовместно . Программное обеспечение является важной частью современной технологии измерительных работ . Данные спутниковых приемников, электронных тахеометров и нивелиров управляются однообразно . . .
Методические указания предусмотрены для выполнения курсовой работы по дисциплине Спутниковая геодезия . Для связи СГС-1 с АГС и нивелирной сетью часть пунктов СГС-1 должна быть совмещена или связана с существующими пунктами АГС и реперами нивелирной . . .
Доклад по теме Бруни Федор Антонович
Анализ Контрольных Работ По Окружающему Миру
Сочинение Неравный Брак Кратко
Курсовая работа по теме Обеспечение безопасности CRM приложений в ASP.NET
Эссе Роль Географических Карт В Жизни Людей
Эссе Разнообразие Организмов
Дипломная работа по теме Разработка стратегии привлечения клиентов для торгового предприятия
Реферат по теме Биологически значимые элементы
Дипломная работа по теме Медиаплощадки и их эффективность
Реферат по теме Перестройка и ее результаты. Распад СССР
Особенности Композиции Сочинение
Дипломная работа по теме Пути приобщения младших школьников к здоровому образу жизни и семье
Курсовая работа по теме Анализ процесса принятия управленческих решений
Курсовая работа: Организация учета движения производственных запасов. Скачать бесплатно и без регистрации
Реферат На Тему Современные Приемы Консервативной Терапии Острых Инфекционных Деструкций Легких
Лекция На Тему Войны Капиталистического Общества
Контрольная работа по теме Суды общей юрисдикции, порядок формирования, состав, полномочия
Эссе На Тему Парниковый Эффект
Духовные Ценности Русской Классической Литературы Сочинение Рассуждение
Курсовая работа: Процесс обучения. Скачать бесплатно и без регистрации
Реферат На Тему Специфічні Та Неспецифічні Дерматити Молочної Залози
Организация Безопасности Контрольная Работа
Контрольная работа по теме Проблемы профилактики преступности среди несовершеннолетних
Реферат На Тему Диагностика И Управление Состоянием Отвращения
Реферат: Parents
Отбасы Менің Тірегім Эссе
Реферат: Аудит. Скачать бесплатно и без регистрации
Дипломная Работа На Тему Анализ Капитала Кпк
Легко Ли Оставаться Собой Сочинение
Реферат по теме Общественно-политический строй Македонии в VI - IV вв. до н.э.
Сила Определение Для Сочинения 9.3
Реферат На Тему Ирен И Жан Фредерик Жолио-Кюри - Жизнь Во Имя Науки
Сочинение На Тему Жизнь Кратко
Контрольная работа: Управление контрразведки "СМЕРШ" – история создания и деятельности
Реферат по теме Россия в 80–90-е годы XIX века
Контрольные Работы По Математике 3 Класс Петерсон
Дипломная работа по теме Гідравлічна підсистема прибирання та випускання шасі середньо-магістрального пасажирського літака з двома ТРДД злітною масою 40 тонн
Реферат: Жюль Габриель Верн
Курсовая работа по теме Диктант как средство формирования орфографических навыков учащихся
Управление Оборотными Средствами Предприятия Курсовая
Реферат: Сократ
Тетрадь Для Практических Работ 6 Класс
Дипломная работа по теме Эффективность внедрения систем электронного документооборота на предприятии
Курсовая Работа На Тему Дослідження Графіку Функції Y=Cos(X)*Ln(X)
Контрольная работа: Искусство эпохи итальянского возрождения. Северное возрождение. Скачать бесплатно и без регистрации
Курсовая работа: Расчёт и анализ экономического эффекта от реализации проекта Проектирование, производство и
Реферат Банк России Статус Организация Права Функции
Реферат По Биомедицинской Этике 2022 Год
Курсовая Работа Гражданское Общество В России
Курсовая работа по теме Алкоголизм, наркомания, сектантство в подростковом и раннем юношеском возрасте
Реферат: Мифы Исландии
Контрольная Работа Биболетова 8 Класс 1 Четверть
Контрольная работа по теме Российское китаеведение XIX-начала 20 вв.
Реферат: Рюрик Ивнев - поэт Серебряного века. Скачать бесплатно и без регистрации
Курсовая работа: Сапер
Курсовая работа по теме Проектирование системы отопление и вентиляция жилого дома города Казани
Курсовая работа: Трудовое воспитание в семье
Реферат: Великокняжеская усыпальница Санкт-Петербург
Реферат: Понятие и виды невиновного причинения вреда
Контрольная Работа Многозначные Числа 3 Класс
Книга: Карась. Все способы ловли
Сочинение: Cвоеобразие Чеховских пьес. Скачать бесплатно и без регистрации
Дипломная работа по теме Трудовые пенсии по случаю потери кормильца
Реферат На Тему Детство
Отчет по практике по теме Характеристика АО 'Вагоностроительный завод'
Реферат: The Short Happy Life Of Francis Macomber
Доклад по теме Парадокс Ольберса
Здоровое Питание Курсовая
Сочинение По Повести Железникова Чучело
Реферат На Тему Витамин С
Разработка Политики Управления Дебиторской Задолженностью Курсовая
Реферат На Тему Проблемы Внедрения Дискового Шифрования
Пособие по теме Методические указания по выполнению курсовых работ по маркетингу
Стандарты Курсовой Работы 2022
Реферат: Sierra Leone Essay Research Paper SIERRA LEONEJust
Курсовая Работа На Тему Третейские Суды В Российской Федерации
Органы Опеки И Попечительства Курсовая
Курсовая работа по теме Анализа состояния конкурентоспособности в ресторанной сети
Васнецов Богатыри Сочинение
Эсс Line Energy
Курсовая работа по теме Эксплуатация флота
Дипломная Работа На Тему Христос В Масульманстве
Реферат: Анализ финансово-хозяйственной деятельности предприятия на примере ОАО Хладокомбинат
Реферат: Выдача отпускных перед отпуском обязанность нанимателя
Контрольная работа: Расчет индуктивности
Воспалительные Заболевания Женских Половых Органов Курсовая
Реферат: Феномены межгрупповых отношений
Реферат: Решение игры в смешанных стратегиях 2
Реферат Гост Образец Скачать
Власть И Народ В Современном Мире Курсовая
Доклад по теме Бизнес-план парикмахерской "Ирэна"
Лабораторная работа: Можливості графічної підсистеми Delphi 5
Эссе Как Я Провожу Время
Контрольная работа по теме Современные интерпретации менталитета российского общества
Реферат по теме Население Верхотурского уезда
Реферат по теме Толкование норм права
Реферат: Менеджмент рисков
Реферат по теме Япония в новое время
Сочинение Анализ Ранних Поэм Лермонтова
Контрольная работа по теме Крошка Цахес по прозвищу Циннобер
Курсовая работа по теме Совместная обработка спутниковых и нивелирных данных в программном комплексе




































