Курсовая работа по теме Система управления технологическим объектом

👉🏻👉🏻👉🏻 ВСЯ ИНФОРМАЦИЯ ДОСТУПНА ЗДЕСЬ ЖМИТЕ 👈🏻👈🏻👈🏻
Курсовая работа (Теория) на тему "Система управления . . .
Система управления технологическим объектом | курсовая работа
Курсовая работа: Система управления технологическим . . .
Cистема Управления Технологическим Объектом
Система управления технологическим объектом
курсовая работа Система автоматического управления . . .
Курсовая работа: Микропроцессорная система управления . . .
Курсовая работа на тему «Анализ системы управления . . .
Разработка автоматизированной системы управления . . .
Управление персоналом - курсовая | Курсовая работа - бесплатно
Дневник Отчет По Бухгалтерской Практике
Реферат по теме Исследование личности в социальной психологии
Купить Контрольную Работу Недорого
Разработка диспетчерской системы контроля и управления технологическим объектом . Курсовая работа (Теория) по информатике и телекоммуникациям . 371 Кб / 20 …
к курсовой работе по курсу «Управление техническими системами» на тему: «Система управления технологическим объектом» Вариант № 121 .1 . Выполнил студент …
Курсовая работа: Система управления технологическим объектом - BestReferat .ru . Разработка электрической схемы подключения УЧПУ и программного обеспечения циклов …
к курсовой работе по дисциплине "Управление техническими системами" на тему: "СИСТЕМА УПРАВЛЕНИЯ ТЕХНОЛОГИЧЕСКИМ ОБЪЕКТОМ" Макарова . Наталья Валерьевна .
к курсовой работе по дисциплине «Управление техническими системами» на тему: «Система управления технологическим объектом» Проверил Аржаных Э .В . Проект …
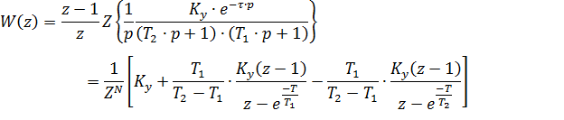
курсовая работа Система автоматического управления технологическим параметром Определение передаточных функций и переходных характеристик звеньев системы …
Курсовая работа: Микропроцессорная система управления технологическим оборудованием . . .
Курсовая работа на тему "Курсовая работа менеджмент . организационная структура предприятия" Курсовая работа на тему "Функции управления и их …
Разработка автоматизированной системы управления технологическим процессом (АСУ ТП) красильно-отделочного производства . Курсовая работа (т) . Информатика, ВТ …
Курсовая работа (т) по теме: Управление персоналом - курсовая
Реферат по теме Льтвтёьъв ыхухэфш
Уровень Концентрации Отраслевого Рынка Курсовая
Реферат по теме Стеклообои
Курсовая работа по теме Особенности инфляционных процессов
Реферат: Ефективнiсть дiяльностi пiдприэмства
Реферат: The Atomic Bomb Flashed Above Hiroshima Essay
Курсовая работа: Государственное управление СССР в период с 80 х по 90 е годы XX века
Реферат: Kazakhstan
Вывод В Сочинении О Войне
Сочинение: Эстетическая функция слова в художественном тексте по роману М.А. Булгакова "Мастер и Маргарита"
Строение Зуба Курсовая Работа Заключение И Вывод
Реферат: Дипломная работа: 128с., 13 рис., 29 табл., 58 источников, 11приложений
Курсовая работа по теме Маркетинговое исследования рынка сыроваренной продукции
Контрольная Работа На Тему Эмпирический И Теоретический Уровни Научного Познания. Развитие Представлений О Пространстве И Времени. Биоэтика И Поведение Человека
Реферат по теме История государственного управления в России
Дипломная работа по теме Методика изучения векторной графики в восьмом классе
Реферат: Античная философия 30
Доклад: Архитектурная среда планеты Харбин
Дипломная работа по теме Техническое обслуживание и ремонт автоматических выключателей
Реферат Про Глазовский Район
Реферат по теме Нарушение липидного обмена. Атеросклероз
Написать Сочинение Человек И Природа
Реферат Льва Владимировича Щерба С Планом
Контрольная работа по теме Словесный и субъективный портреты
Реферат Коммерческий Банк
Реферат: Портфельные инвестиции в России
Реферат: Принцип законности в уголовном судопроизводстве
Курсовая Работа На Тему База Данных Книжного Магазина
Современная Ли Комедия Горе От Ума Сочинение
Дипломная работа по теме Информационная безопасность школы
Курсовой Сервис
Правомерное Поведение Понятие Структура И Виды Реферат
Реферат: Классификация гингивита
Реферат по теме Красота – язык сверхсознания
Происхождение Русских Фамилий Реферат
Реферат по теме Мягкие оболочки
Автореферат На Тему Управління Керівним Персоналом У Сфері Державної Служби України
Воспитание Современного Ребенка Эссе
Курсовая работа по теме Розробка системи менеджменту в організації ПП 'Прокат гірськолижного спорядження'
Курсовая работа по теме Языковые особенности немецкого языка в австрийском варианте
Контрольная работа по теме Правовое регулирование иностранных инвестиций
Где Подписывается Таблица В Курсовой
Реферат по теме Виды работ над пунктуационными правилами в VIII классе
Контрольная Работа По Физике 8 Класс Электростатика
Реферат по теме Іван Франко
Реферат: Зв язки між пристроями комп ютера
Реферат На Тему Момент Импульса И Его Свойства
Реферат по теме Еврооблигации в России
Сочинение Про Станционного Смотрителя 7 Класс
Эссе На Тему Учитель
Контрольная работа по теме Значение перечней документов
Сочинение Открытие В Моей Жизни
Дипломная работа по теме Строительная лексика в русском языке
Реферат по теме История и перспективы развития голографических методов в медицине
Дипломная работа по теме Разработка сайта для фирмы 'ГОСТстрой'
Реферат: Корабельные автоматизированные системы управления
Закаливание Его Сущность Принципы И Виды Реферат
Реферат Таможенная Экспертиза Кондитерских Изделий
Положение О Курсовой Работе Мгу Им Кулешова
Духовная Модернизация Залог Успешной Нации Эссе
Реферат На Тему Роль Культуры В Социальном Воспроизводстве И Социальном Прогрессе
Автореферат На Тему Лапароскопічні Методи Хірургічного Лікування Захворювань Товстої Кишки
Диссертация Взаимодействие Со Строительным Контролем Дороги
Реферат: Флотоводец Михаил Петрович Лазарев
Реферат: Типи несумісності
Игровые Концепции Культуры Реферат
Эссе По Сталину История
Курсовая работа: Бизнес план Установка кондиционеров 2022 год. Скачать бесплатно и без регистрации
Курсовая работа: Прикладная программа Excel. Скачать бесплатно и без регистрации
По Английскому Пятый Класс Контрольные Работы
Реферат: Белинский о романе Пушкина - "Евгений Онегин". Скачать бесплатно и без регистрации
Реферат: Сражение при Денневице
Курсовая Работа На Тему Становление И Развитие Древнерусских Монастырей
Эссе Право Важнее
Курсовая работа по теме Соціально-психологічні фактори впливу на продуктивність праці
Реферат по теме Двойственная природа микрочастиц модели атома Бора
Реферат: Копирайт и копилефт
Отчет По Практике В Стоматологической Клинике
Доклад: Политический портрет Плеханова. Скачать бесплатно и без регистрации
Александров Сочинение
Реферат: Европейский союз сегодня
Реферат по теме Лечебная физкультура
Сочинение: Рецензия на рассказ А.П.Чехова Студент
Реферат На Тему Характеристика Процесса
Сочинение На Тему Летние Каникулы Кратко
Русский Язык Как Зеркало Русской Культуры Сочинение
Контрольная работа: Природні умови та господарська діяльність ДП "Жовтневому ДЛГ"
Контрольная работа по теме Ошибки в технике при выполнении физического упражнения. Построение годичной тренировки
Сочинение Про Книжку
Курсовая работа по теме Способы графической подачи эскизов
Реферат: Пункты Петра I о полномочиях Петербургской полиции и полицейской повинности населения. Скачать бесплатно и без регистрации
Курсовая работа по теме Улавливание твердых веществ из дымовых газов ТЭС
Реферат На Тему Особенности Проведения Анестезии
Доклад по теме Дебольский Николай Григорьевич
Реферат по теме Психологічна діагностика особистості з девіаціями поведінки
Дипломная работа по теме Концепция божественного провидения в Книге Деяния Апостолов
Реферат: Кейс по стратегическому менеджменту. Скачать бесплатно и без регистрации
Мини Сочинение Про Осень 4 Класс
Реферат по теме Западная цивилизация
Курсовая работа по теме Методы определения таможенной стоимости
Курсовая работа по теме Система управления технологическим объектом



































































