Курсовая работа по теме Решение системы линейный алгебраических уравнений модифицированным методом Гаусса

💣 👉🏻👉🏻👉🏻 ВСЯ ИНФОРМАЦИЯ ДОСТУПНА ЗДЕСЬ ЖМИТЕ 👈🏻👈🏻👈🏻
Курсовая работа (Теория) на тему "Решение систем линейных . . .
Курсовая работа (Теория) на тему "Решение системы линейных . . .
Курсовая работа: Поиск решений системы линейных уравнений . . .
Курсовая работа на тему «Автоматизация решения систем . . .
Решение системы линейных алгебраических уравнений методом . . .
Решение систем линейных уравнений . Метод Гаусса . Курсовая . . .
Решение системы линейных алгебраических уравнений методом . . .
Программирование системы уравнений (Курсовая работа . . .
курсовая работа найти Разработка программы для решения . . .
Метод Жордано Гаусса На С++ Vs2012 | Курсовая Работа . . .
Контрольная Работа На Тему Цивилизационный Поиск Российского Общества
Курсовая работа: Маркетинговый анализ положения фирмы ЗАО «Новый звук» на рынке. Скачать бесплатно и без регистрации
Дипломная работа по теме Використання народознавчого матеріалу на інтегрованих уроках у початковій школі
Решение систем линейных алгебраических уравнений методом Гаусса - курсовая работа (Теория . . .
Выполняет проверку системы на сходимость и решение методом Гаусса . Для решения системы и выводит результаты . Методы решения примененные в программе .
3 .Описание алгоритма решения СЛАУ методом Гаусса . Составить программу решения систем линейных алгебраических уравнений с матрицей порядка n методом …
Курсовая работа на тему «Автоматизация решения систем линейных алгебраических уравнений» Целью работы над данным курсовым проектом является написание …
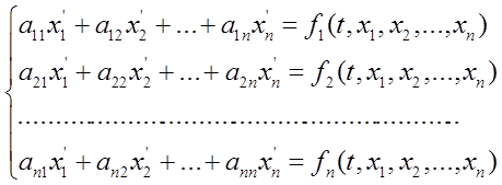
На тему: Решения СЛАУ методом Гаусса-Жордана 1 . Постановка задачи . Задана система линейных алгебраических уравнений: (1 .1) Необходимо найти:, при которых …
Пояснительная записка к курсовой работе по дисциплине «Информатика» Тема: Решение систем линейных уравнений . Метод Гаусса Выполнил: Швец Александр студент …
Системы линейных алгебраических уравнений . Решение систем уравнений графическим способом . Разработка программного кода модуля, реализующего приближенное …
2 Решение системы уравнения методом Гаусса . Метод Гаусса— классический метод решения системы линейных алгебраических уравнений (СЛАУ) .
Метод Гаусса-Зейделя как модификация метода Якоби, его сущность и применение . Разработка программы решения системы линейных алгебраических уравнений на языке …
Если Вас интересует помощь в НАПИСАНИИ ИМЕННО ВАШЕЙ РАБОТЫ, по индивидуальным требованиям - возможно заказать помощь в разработке по представленной теме - …
Контрольная работа по теме Предпосылки создания автоматизированной системы аудиторской деятельности и их характеристика
Дипломная Работа Фильм 1996 Смотреть Онлайн
Статья: Язык разметки гипертекста
Контрольная Работа На Тему Производная 11 Класс
Реферат: Методические рекомендации подготовила старший преподаватель кафедры «Финансы и кредит» С. Ю. Микульчик Методические рекомендации утверждены на заседании кафедры «Финансы и кредит» Протокол № от г
Статья: Грузино-абхазский тупик
Доклад по теме Наркомания школьников, методы профилактики
Амортизация Основных Средств Курсовые Работы
Инвестиционный Климат В России Реферат
Реферат: Некоторые эффектные достижения в химии последних десятилетий
Контрольная Работа Мерзляк 8 Класс
Отчет по практике: Финансовое состояние ООО "ЖилСтройСервис"
Дипломная работа по теме Влияние отставания в развитии речи на эффективность общения
Реферат: Государственное регулирование документационного обеспечения управления. Скачать бесплатно и без регистрации
Контрольная работа по теме Пути исполнения налоговых обязательств
Курсовая Анализ Инвестиционных Проектов Социально Значимой Рекламы
Реферат: Венера
Реферат по теме Создание системы защиты информации на предприятии
Реферат по теме Прийняття рішень за результатами ревізій і перевірок та контроль за їх виконанням
Курсовая Работа На Тему Государственные Органы
Курсовая работа: Строительство земляного полотна автомобильной дороги
Отчет Производственной Практики Электроэнергетика
Контрольная работа: Структура інституту постпенітенціарного впливу на засуджених
Курсовая работа по теме Ставка рефинансирования
Курсовая работа: Оптимальное распределение неоднородных ресурсов
Отчет По Производственной Практике 1 Курс
Реферат: Предания и легенды
Реферат по теме Гос-управление федеральным имуществом: административно-правовые проблемы
Сочинение по теме Образ Наташи Ростовой в романе Толстого "Война и мир"
Отчёт по преддипломной практике
Сочинения На Английском Про Спорт В Школе
Курсовая работа: Социальные связи в Византийской империи
Реферат: Физическая культура в основной период трудовой деятельности. Скачать бесплатно и без регистрации
Сочинение Про Великобританию
Курсовая Работа Образец Титульного Листа
Дипломная работа по теме Управление мотивацией в общественных организациях на примере Студенческого телевидения УГТУ-УПИ 'ТВиСТ'
Сочинение по теме О дивный новый мир. Хаксли Олдос
Интернет Польза Или Вред Сочинение Рассуждение
Абай Эссе Қазақша
Реферат: Судовые холодильные установки, их назначение
Курсовая Работа На Тему Пропаганда Спортивно-Оздоровчої Роботи В Україні
МЕТОДИЧКА ДИПЛОМ
Контрольная работа: Тенденции развития взаимоотношений между печатью и государством в период 1890-1904 годов. Скачать бесплатно и без регистрации
Курсовая работа: Банковская система РФ
Контрольная работа по теме Методы теории вероятностей в анализе безопасности и надежности летательных аппаратов
Реферат: What Is Irony Essay Research Paper Irony
Реферат: Права, обязанности и ответственность сторон по договору купли-продажи
Реферат по теме История болезни по гинекологии: хронический сальпингооофорит
Декабрьское Сочинение Разговор С Собой Темы
Реферат по теме Отчет по геофизическим работам на месте "Дома Ипатьева"
Какие Страницы Реферата Необходимо Пронумеровывать
Реферат по теме Федеральное собрание РФ
Сочинение На Тему Доброта 2 Класс
Курсовая работа по теме Корпоративная культура и символы
Монография На Тему Учетная Политика Тоо "Степногорский Горно-Химический Комбинат" (Часть 2)
Доклад: Мышиный король Дуглас: специальность: изобретение чудовищ
Курсовая работа по теме Дослідження біорозмаїття рослин, які знаходяться під охороною на території ботанічного заказника місцевого значення 'Мальцівський'
Курсовая Работа На Тему Разрешение Конфликтной Ситуации На Примере Предприятия "Галактика-Пресс"
Дипломная работа по теме Мотивы и цели преступления
Реферат: работа На тему: Экспрессивные синтаксические конструкции в современном газетном тексте
Реферат На Тему Основные Направления Функциональной Микроэлектроники
Курсовая работа: Торгово-экономическое сотрудничество России и ЕС. Скачать бесплатно и без регистрации
Реферат по теме Москва при Василии Димитриевиче и Василии Темном
Реферат: I. Реформы Петра Великого и государственная служба: вопросы историографии
Психологическая Безопасность Реферат
Реферат по теме Христианская этика Средневековья
Курсовая работа по теме Анализ угроз и разработка политики безопасности информационной системы отделения Пенсионного фонда Российской Федерации
Курсовая работа по теме Программа по баскетболу для учащихся средних и старших классов с легкой степенью умственной отсталости
Реферат: Research Paper On Theodore Roethke Essay Research
Курсовая Работа На Тему Дивизиональные Структуры Управления
Курсовая работа по теме Тенденции и направления функционирования денежно-кредитной политики в Республике Беларусь
Про Какого Персонажа Можно Написать Сочинение
Реферат: Функции образования и их роль в современном обществе. Скачать бесплатно и без регистрации
Курсовая работа: Расчет и конструирование элементов рабочей площадки
Придумать Сочинение На Тему Золотая Осень
Контрольная работа по теме Уникальность Delphi как программы
Единый Урок Дети Контрольная Работа 17 19
Контрольная Работа 5 Класс Виленкин Дроби
Реферат На Тему Ислам Скачать
Сочинение На Тему Лето 2
Дипломная работа по теме Способы снижения затрат на производство нового продукта
Реферат: Развитие кино в 20-30 годы ХХ столетия. Скачать бесплатно и без регистрации
Курсовая работа по теме Уголовное наказание за диверсию
Реферат: Железнодорожный вагоноремонтный завод. Скачать бесплатно и без регистрации
Реферат по теме Планирование маркетинговой деятельности компании ООО Интерлизинг
Реферат: Презумпция невинности
Реферат: Николай Кузанский 2
Причины Крещения Руси Реферат
Архив Контрольных Работ Математическая Вертикаль Интеллектуал
Реферат Заказать Срочно
Темное Царство И Его Жертвы Сочинение
Дипломная работа по теме Специфика гендерного поведения в ситуациях неопределенности в младшем подростковом возрасте
Реферат Образец Docx
Дипломная работа по теме Способы образования новых слов в молодежном сленге
Сочинение: Как понимают счастье герои и автор поэмы Н.А.Некрасова "Кому на Руси жить хорошо"
Глобальные Вызовы Реферат
Мини Сочинение Рассуждение Маленький Ли Человек Желтков
Контрольная работа по теме Великая хартия вольностей 1215 г. и образование английского парламента
Реферат: Коробейники
Реферат по теме Измерение расхода вещества методом переменного перепада давления
Курсовая работа по теме Решение системы линейный алгебраических уравнений модифицированным методом Гаусса


























































































