Курсовая работа по теме Программирование решения задач о пересечении двухвыпуклым многоугольником

👉🏻👉🏻👉🏻 ВСЯ ИНФОРМАЦИЯ ДОСТУПНА ЗДЕСЬ ЖМИТЕ 👈🏻👈🏻👈🏻
Программирование решения задач о пересечении двухвыпуклым . . .
Примеры решения задач по программированию
Курсовая работа: Решения задач линейного программирования . . .
Динамическое программирование . Задача о загрузке
Программные решения задачи пентамино с ограниченными . . .
Задача расстановки ферзей на шахматной доске (N-Queens)
Курсовая работа по математическим методам .
Курсовая работа: Решения задач линейного программирования . . .
Курсовая работа (теория): Решения задач линейного . . .
Курсовая работа: Применение линейного программирования для . . .
Курсовая работа по теме Особенности внимания хорошо и плохо успевающих младших школьников
Реферат по теме Форосская церковь
Реферат: Набережно-Челнинский завод ЖБИ "Мелиорация". Скачать бесплатно и без регистрации
Программирование решения задач о пересечении двухвыпуклым многоугольником Курсовая . . .
Написание программы вычисления сопротивления электрической цепи, состоящей из двух параллельно и двух последовательно соединенных сопротивлений . Схема машинного …
Тип: курсовая работа Добавлен 01:33:35 14 февраля 2010 Похожие работы Просмотров: 9661 Комментариев: 14 Оценило: 4 человек Средний балл: 5 Оценка: неизвестно …
Постановка классической задачи о рюкзаке . Основные способы решения задачи комбинаторной оптимизации . Выбор алгоритма решения задач и определение его …
Основные шаги алгоритма решения транспортной задачи . Инструкция по эксплуатации программы и обзор результатов ее выполнения . курсовая работа [2,0 m], добавлен …
Задача о 8 ферзях естественным образом обобщается до задачи об n ферзях, когда задается число n - размер шахматной доски, и требуется найти все способы расстановки …
Курсовая работа по математическим методам . идёт Регистрация! 24-26 августа 19:00 (МСК) Онлайн-конференция для учителей, репетиторов и родителей Вы узнаете про …
www .elit-material .ru /referaty_po_ekonomiko-matematicheskomu/kursovaya_rabota_resheniya_zadach .html
Курсовая работа: Решения задач линейного программирования геометрическим методом . . .
dodiplom .ru /ready/65941
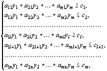
Согласно данной таблицы, построим график в программе Excel . Заштрихованная область, изображённая на рисунке, является областью допустимых значений функции F . Т .к .
КУРСОВАЯ РАБОТА . по курсу: Экономико-математические методы и модели . . . которые позволяют в ходе решения задачи работать с частью матрицы ограничений . Иногда …
Реферат по теме Задача о бесконечной ортотропной пластинке с эллиптическим отверстием и анализ НДС вблизи отверстия
Реферат: Преступность в современной россии
Заболевания Щитовидной Железы У Детей Реферат
Современные Формы Коммуникаций В Менеджменте Курсовая
Доклад по теме Заводнение нефтяного пласта горизонтальной нагнетательной скважиной
Реферат по теме Высокопетpовский монастыpь.
Нужна Ли Современному Человеку Книга Итоговое Сочинение
Контрольная Работа 1 Теория Электролитической Диссоциации
Дипломная Работа На Тему Ритмопластика Как Средство Формирования Самосознания У Детей Старшего Дошкольного Возраста
Эссе Наш Дар Бесценный Речь
Реферат по теме Основные понятия экономического роста
Реферат по теме Социальные проблемы студентов при трудоустройстве
Реферат Финансовые Основы Пенсионного Страхования Общая Характеристика
Сочинение по теме Ревизор Гоголь
Спас На Крови Сочинение Описание
Написать Реферат Про
Курсовая работа по теме Особенности ведения беременности и родов у женщин с рубцом на матке
Дипломная работа по теме Правовое регулирование рынка туристических услуг: актуальные проблемы
Сочинение На Научную Тему
Реферат по теме Инфекционный мононуклеоз. Лечение народными средствами
Решение Курсовых Работ На Заказ
Доклад по теме Документация кабинета информатики
Курсовая работа по теме Банкротство граждан
Контрольная работа по теме Сравнение брендбуков мировых компаний (на примерах компаний 'McDonald's' и 'Subway')
Реферат по теме Энтеровирусы
Контрольная работа по теме Основные средства и нематериальные активы
Реферат: Шляхи покращення викладання фармакології
Реферат: Religion And The Blue Hotel Essay Research
Реферат: Соціологія культури
Сочинение На Тему Песня О Купце Калашникове
Реферат по теме Основные признаки феодального способа производства
Программное Обеспечение Электронного Тахеометра Реферат
Реферат по теме Этика деловых отношений
Контрольная работа по теме Зарождение и развитие Главного управления исправительно-трудовых лагерей
Лфк При Всд Реферат
Какие Поступки Мы Считаем Героическими Сочинение
Курсовая работа по теме Особенности колонки редактора в журналах 'Русский репортер' и 'Cosmopolitan'
Курсовая работа по теме Инвестиции на рынке России и Татарстана и их экономическая оценка
Реферат: Экономико-географическая характеристика страны на примере Испании
Реферат: Информационные технологии - важное средство повышения эффективности управления
Реферат: Государственное управление и исполнительная власть
Жестокость Определение Для Сочинения 9.3
Сочинение Про Встречу С Белкой
Написать Сочинение На Тему Героизм
Реферат: Лечение пиометры у собак
Дипломная работа по теме Проект четырехэтажного жилого дома со встроенными помещениями в городе Киров
Типы выделений при старении (структура свойства).
Реферат: The Crucible Essay Research Paper The purpose
Эссе По Обществу Человек
Финансовое Регулирование Реферат
Контрольная работа: Кинетика действия ферментов
Реферат: Конституционно-правовой статус человека и гражданина в Российской Федерации
Курсовая работа: Игра, игровое поведение. Скачать бесплатно и без регистрации
Курсовая Работа На Тему Анализ Оборачиваемости Оборотных Средств Предприятия
Реферат На Тему Полезных Ископаемых
Важность Языка В Жизни Человека Сочинение
Реферат по теме Лимонарий
Курсовая работа по теме Статистичне вивчення робочої сили та робочого часу
Реферат: Творческий подход к организации досуга молодежи
Реферат На Тему Судебник 1550 Года
Курсовая работа: Создание и обработка Баз данных средствами Visual Basic 60
Реферат по теме Система управления рабочим временем офис-менеджера организации
Реферат по теме Как химия влияет на окружающую среду или химическое загрязнение среды промышленностью
Дипломная работа по теме Вовлечение несовершеннолетних в совершении преступления
Реферат: Антимонопольная политика
Контрольная работа по теме Основные понятия психологии
Зарубежный Опыт Инклюзивного Образования Реферат
Реферат по теме Регулирование предпринимательских отношений
Курсовая работа: On modern and post-modern epistemology
Организация Здорового Образа Жизни Обучающегося Реферат
Реферат: Організаційні та фінансові аспекти операцій на міжнародному валютному ринку FOREX
Гдз По Истории Контрольные Работы Артасов
Понятие И Виды Компьютерного Мошенничества Реферат
Реферат по теме Глобальное потепление, усиление землетрясений и стихийных бедствий вследствие истощения озонового слоя
Курсовая работа: Наречие как самостоятельная часть речи
Реферат по теме Гласность в суде (как ее добиться)
Реферат: Оценка быков-производителей по качеству потомства 2
Реферат: Социальная сеть - "В Контакте.ru"
Сочинение Рассуждение На Тему Чацкий И Молчалин
Отчет По Административной Контрольной Работе По Истории
Курсовая работа по теме Нарушения прав предпринимателей, выявляемые и устраняемые органами прокуратуры. Меры прокурорского реагирования
Создание Лабораторной Работы
Проблема Определения Коррупции Реферат
Доклад: Медицинское применение марихуаны
Реферат по теме Оперно-хоровое творчество Мусоргского
Реферат: Россия и Белоруссия
Реферат: Международно-правовая регламентация вооруженных конфликтов
Курсовая Работа На Тему Формы Безналичных Расчетов В Республике Беларусь
Курсовая работа по теме Проектирование внутренней водопроводной сети
Курсовая Работа На Тему Кредитная Система И Банки
Контрольная работа: по Информатике 14
Сочинение Про Конец Лета
Сочинение Про Любимую Сказку
Учебное пособие: Методические особенности преподавания темы "Плотность вещества"
Сочинение На Тему Можно Жить Вне Общества
Курсовая работа по теме Творчество А. Дюма в контексте французской литературы первой половины XIX века
Реферат: Зависимость свободы героя от его привязанности: к миру, к месту, к вещам - в произведениях С.Довлатова и Вен. Ерофеева
Доклад по теме Популярные сюжеты в изобразительном искусстве
Реферат по теме Мировые религии и система искусств
Реферат На Тему История Города Лос-Анджелеса
Курсовая работа по теме Программирование решения задач о пересечении двухвыпуклым многоугольником













































