Курсовая работа по теме Изохинолиновые алкалоиды и препараты на их основе

👉🏻👉🏻👉🏻 ВСЯ ИНФОРМАЦИЯ ДОСТУПНА ЗДЕСЬ ЖМИТЕ 👈🏻👈🏻👈🏻
Курсовая работа (Практика) на тему "Алкалоиды . . .
Общая характеристика алкалоидов . Изохинолиновые алкалоиды
Курсовая работа тема: «Алкалоиды и история их открытия»
Применение в медицине
Курсовая работа на тему «Алкалоиды и история их открытия»
Курсовая: Алкалоиды и история их открытия
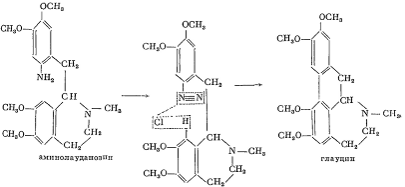
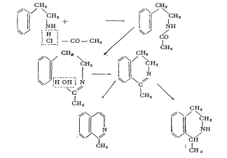
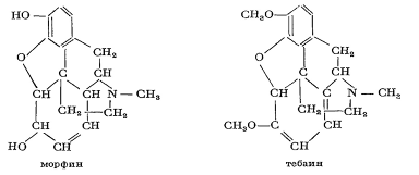
Курсовая работа: Производные фенантренизохинолина . . .
Лекарственные препараты - реферат, курсовая работа, диплом . . .
Курсовая работа на тему «Наркотическая и алкогольная . . .
Флавоноиды . Флавоноидсодержащие препараты и их применение . . .
Реферат по теме Эффективность использования капитала предприятия
Судна Реферат
Дипломная работа по теме Особенности рассмотрения дел, связанных с взысканием заработной платы
Изохинолиновые алкалоиды и препараты на их основе . Курсовая работа (Теория) по медицине, физкультуре и здравоохранению . 315 Кб / 53 стр / 7721 слов …
Фармакологическая активность алкалоидов и их применение в медицине . Кулинарные рецепты . . .
КУРСОВАЯ РАБОТА . Тема: «Алкалоиды и история их открытия» . . . а в малых их часто применяют как ценные лекарственные вещества . Алкалоиды очень широко …
Изохинолиновые алкалоиды и препараты на их основе Классификация изохинолиновых алкалоидов . Их физические и химические свойства, строение, методы …
Курсовая работа на тему «Алкалоиды и история их открытия» Алкалоидами называют группу азотистых соединений, обладающих основными свойствами и …
www .erudition .ru /referat/ref/id .22049_1 .html
КУРСОВАЯ РАБОТА Тема: «Алкалоиды и история их открытия» Выполнена студентками 3 курса ДО Коршуновой Ю .А . Бойцовой И .Ю . Научный руководитель Родионова Р .Е .
Формы выпуска: порошок, таблетки по 0,01 г и ампулы по 1 ил 1 % раствора . Хранение: список А, В хорошо укупоренных банках оранжевого стекла; таблетки и …
контрольная работа по предмету Медицина на тему: Лекарственные препараты - понятие и виды, структура и классификация, 2017, 2018-2019 год . Заказать реферат …
Курсовая работа на тему "Курсовая работа менеджмент . организационная структура предприятия" Курсовая работа на тему "Функции управления и их …
Сущность и классификация флавоноидов . Специфика методов идентификации, установления структуры флавоноидов . Медицинское применение сырья и препаратов, содержащих …
Топик: Писатели
Мой Дом Сочинение На Русском
Контрольная работа по теме Недвижимость как объект инвестирования
Реферат по теме Брак и семья в мусульманских странах
Сборник Сочинений Ленина
Лабораторная работа: Коды и системы записи чисел
Дипломная работа по теме Створення багатомодульних програмних проектів зі створення та опрацювання даних у файлах засобами Visual C++
Дипломная Работа 1 Часть
Сигареты Эссе Отзывы
Реферат: Вторая франко-дагомейская война
Устройство Принцип Действия Реферат
Контрольная работа по теме Гомеопатические и природные средства оздоровления
Применение Сплавов Реферат
Всероссийская Лабораторная Работа
Реферат: Анатомия поджелудочной железы
Список Тем Курсовых Работ По Психологии
Реферат На Тему История Казани
Авито Курсовая Работа
Реферат по теме Близорукость у детей и подростков
Отчет По Практике В Архиве Суда
Государственное Регулирование Рынка Недвижимости Диссертация
Курсовая работа: Ипотека земельных участков. Скачать бесплатно и без регистрации
Контрольная работа: Линейное программирование 2 4
Курсовая Работа На Тему Конкурентоспособность Организаций И Товаров
Реферат На Тему Культура Древней Греции
Реферат: Основные тенденции всемирной и Российской истории в XIX веке. Скачать бесплатно и без регистрации
Реферат по теме Д. Рикардо о факторах определяющих стоимость товара (Контрольная)
Контрольная Работа По Изо 3 Класс
Реферат На Тему Региональные Налоги
Сочинение По Русскому Алгоритм
Реферат Несовершеннолетние Закон Уголовная Ответственность Подростков
Воспитание В Дошкольном Возрасте Реферат
Дипломная работа по теме Коммутация в сетях с использованием асинхронного метода переноса и доставки
Реферат: Яшин Лев. Спортивная биография
Доклад по теме Правило октета
Курсовая работа: Расчет налогов на предприятие
Дипломная работа по теме Синтез та властивості 4-заміщених 2-метилхіноліну
Курсовая работа по теме Вина как условие гражданско-правовой ответственности
Реферат по теме Новации и качество
Реферат: Розвиток економічної думки
Реферат по теме Рынок земли его специфика. Факторы определяющие цену на землю
Курсовая работа по теме Анализ доходов организации
Реферат по теме Облік операцій Національного банку України
Реферат: Физический и феноменологический миры. Скачать бесплатно и без регистрации
Образец Заполнения Курсовой
Контрольная работа по теме Социальные общности и социальные различия
Реферат: Культура западной европы ХХ века
Курсовая работа: Комерційні банки становлення та розвиток 2
Реферат: Presidents And Conflict Resolution Essay Research Paper
Курсовая работа по теме Правовые основы правоохранительной службы в органах внутренних дел
Реферат по теме Концепция генезиса феодализма в трудах Н.-Д. Фюстеля де Куланжа
Учимся Писать Сочинение Егэ
Реферат: Организация как система. Скачать бесплатно и без регистрации
Дипломная Работа Интернет Магазин
Реферат Сущность Понятий Управление И Манипулирование
Курсовая работа по теме Нормативные и индивидуальные правовые акты
Реферат по теме Мировые экономические системы
Дипломная работа по теме Формування соціально-економічного механізму управління підприємства (за матеріалами Сільськогосподарського ТОВ Агрофірма 'Ольгопіль')
Моделирование хозяйственных процессов
Настройки Абзаца В Ворде Для Курсовой
Курсовая работа по теме Финансовое планирование в системе управления предприятием
Реферат по теме Античная мифология и ее влияние на современность
Умскул Егэ Русский Язык Сочинение
Сочинение На Тему Мир Без Наркотиков
Оценка Рисков Диссертации
Образцы Эссе На Английском Языке
Курсовая Работа На Тему Финансовый Менеджмент И Его Роль В Управлении Финансами Организации
Реферат На Тему Країни Африки В 20-30-Ті Роки
Реферат: Психогигиена
Эссе На Тему Проблемы Современного Образования
Реферат: Persian Wars Essay Research Paper The Persian
Банк Тем Итогового Сочинения
Классификация Липидов Реферат
Реферат: Семейное овощеводство на узких грядках (Угарова ТЮ)
Реферат Лексическое Богатство Русского Языка
Реферат: Наладка и эксплуатация электрооборудования металлорежущих станков
Мое Мнение О Борисе Годунове Сочинение
Реферат: Ивана Купала
Реферат по теме Инструменты финансового анализа – критерии выбора
Реферат: Эффективность функционирования предприятия
Доклад: Эволюция. Биосфера. Воздействие на биосферу
Реферат: Архетектура Тюмени и ее культурное своеобразие
Дипломная работа по теме Особенности творческого воображения у детей школьного возраста
Короткий Реферат По Физкультуре На Тему Бег
Реферат: Антиинфляционная политика. Особенности инфляционных процессов в РФ
Сочинения На Английском Я Люблю Путешествовать
Практические Задачи Механики Реферат
Дипломная работа по теме Архитектура системы UNIX, общее описание, модель безопасности
Сочинение Про Мое Любимое Место
Физика Седьмой Класс Лабораторная Работа
Пособие по теме Шпаргалки по метрологии (2007г. Томск)
Сочинения 2 Класс Богатыри
Реферат по теме Племянник Эрмитажа, Третьяковки старший брат
Доклад: Феррари (Ferrari), Энцо
Реферат: Русские книгоиздатели конца 19 - начала 20 веков. Скачать бесплатно и без регистрации
Вопросы Для Сочинения По Сказке Английский
Курсовая работа: Учет типологии личности ребенка старшего дошкольного возраста педагогом в процессе воспитания
Реферат по теме Модернизация российского общества: теория и действительность
Реферат по теме Самооборона
Инновационный Проект Курсовая
Курсовая работа по теме Изохинолиновые алкалоиды и препараты на их основе














































































