Курсовая Работа На Тему Аналіз І Управління Грошовими Потоками Підприємства

👉🏻👉🏻👉🏻 ВСЯ ИНФОРМАЦИЯ ДОСТУПНА ЗДЕСЬ ЖМИТЕ 👈🏻👈🏻👈🏻
Аналіз і управління грошовими потоками підприємства . . .
Управління грошовими потоками підприємства (4) - Курсовая . . .
Курсовая работа: Управління грошовими потоками . . .
Управління грошовими потоками підприємства (3) - Курсовая . . .
Курсовая работа: Управління грошовими потоками підприємства
Управління грошовими потоками підприємства - реферат . . .
Аналіз і управління грошовими потоками підприємства
Аналіз і управління грошовими потоками підприємства
Курсовая работа: Аналіз руху грошових коштів промислового . . .
Тема 3 . Управління грошовими потоками підприємства
Дипломная Работа На Тему Методические Основы Использования Электронных Учебных Пособий В Образовании
Индивидуальный Подход Реферат
Изучение Строения Растительной Клетки Лабораторная Работа
Аналіз і управління грошовими потоками підприємства | курсовая работа . Оскільки основна діяльність являється основним джерелом прибутку, то вона повинна являтися основним джерелом грошових коштів .
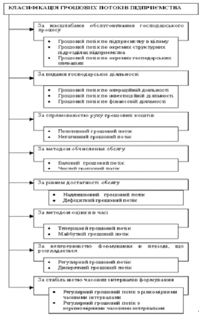
Тому в системі управління грошовими потоками підприємства обидва ці види грошових потоків являють собою єдиний (комплексний) об'єкт фінансового менеджменту .
Название: Управління грошовими потоками підприємства Раздел: Рефераты по финансам Тип: курсовая работа Добавлен 15:51:53 27 декабря 2010 Похожие работы Просмотров: 261 Комментариев: 12 Оценило: 2 человек Средний балл: 5 Оценка . . .
Факультет економіки та підприємництва Кафедра обліку та аналізу . КУРСОВА РОБОТА . з дисципліни "Фінансовий облік" на тему: Управління грошовими потоками підприємства (на прикладі СК . . .
www .tnu .in .ua /study/refs/d127/file198609 .html
Тема: Управління грошовими потоками підприємства . Виконала: студентка: Максимова Ольга Геннадіївна . курс-4, спеціальність-фінанси, група-Ф-10-1з сп, Науковий керівник Волошина О .В . Кременчук 2010
Аналіз і управління грошовими потоками підприємства . 13 .11 .2009/ курсовая работа . Засади управління грошовими потоками підприємства, їх сутність та класифікація .
Документ 160245 (Аналіз і управління грошовими потоками підприємства), страница 7, который располагается в категории курсовые работы в предмете финансовые науки израздела Студенческие работы .
Засади управління грошовими потоками підприємства, їх сутність та класифікація . Аналіз стану і рівня збалансованості та ефективності грошових потоків ЗАТ "Богуславський маслозавод" .
Характеристика руху грошових коштів промислового підприємства, особливості впливу ринкового середовища на грошові потоки . Аналіз динаміки дебіторської, кредиторської заборгованості підприємства .
22 . Поняття, види і значення грошових потоків для підприємства . Суть грошового потоку . Вхідний і вихідний грошові потоки . 23 . Необхідність і значення управління грошовими потоками . . .
Курсовая работа: Менеджерское решение проблемы Совершенствование системы мотивации
Курсовая работа по теме Правовой анализ опеки и попечительства
Курсовая работа по теме Право как философская категория
Курсовая работа по теме Педагогическая система А.С. Макаренко и современность
Реферат: Психологические последствия войны
Эссе Что Значит Быть Культурным Человеком
Сочинение Времена Года 3 Класс
Теория: Общая психология
Реферат: Презентация как способ представления товара потребителю
Средства И Методы Спортивной Тренировки Реферат
Дипломная работа по теме Реализация концепта 'власть' в русских паремиях
Курсовая работа по теме Особенности выездного обслуживания 'кейтеринга'
Практическое задание по теме Компьтер в современном офисе и его экологическая безопасность
Контрольная работа по теме Политизация и социализация современной молодежи
Реферат: Биография В. Высоцкого
Сочинение Про Осенний День 5 Класс
Контрольная работа по теме Понятие и функции финансов домохозяйств
Курсовая работа по теме Разработка модели системы массового обслуживания
Написать Сочинение По Картине Бродского
Контрольная работа: Радищев - друг или враг народа
Дипломная работа по теме Развитие коммуникативных способностей у старших дошкольников посредством психогимнастических упражнений
Изучение Иностранных Языков Сочинение
Понятие Информации Реферат
Каковы Источники Формирования Исторической Памяти Сочинение Декабрьское
Прокурор Курсовая
Реферат по теме Состав и назначение основных элементов компьютера, и их характеристики
Курсовая Работа На Тему Банківські Послуги
Курсовая работа по теме Гражданско-правовое регулирование деятельности обществ с дополнительной ответственностью
Прочностные свойства
Мини Сочинение На Тему Жизнь Крестьян
Реферат На Тему Особенности Средневековой Культуры
Реферат: Общий план проведения аудиторской проверки
Курсовая работа: Формирование интеллектуальной культуры личности
Реферат: Повышение конкурентоспособности сельскохозяйственной продукции
Базовый Уровень Контрольных Работ
Реферат: Расчет дифференциального уравнения первого, второго и третьего порядка методом Эйлера. Скачать бесплатно и без регистрации
Реферат по теме Международные отношения Пакистана с Западноевропейскими странами и США
Сочинение По Картине Ромадина Керженец 7 Класс
Курсовая Работа На Тему Хулиганство
Реферат: Этапы становления и развития современной мировой экономической системы
Курсовая работа: Разработка специализированного программного модуля для решения указанной задачи
Курсовая Работа Управление Денежными Потоками Организации
Реферат: Анализ расходов коммерческих организаций
Реферат На Тему Бунташный Век. Народные Восстания В Середине - Второй Половине Xvii Века
НЛО - миф современной культуры
Выполнение Контрольных Работ На Заказ
Курсовая работа по теме Расчет лампового автогенератора дециметрового диапазона волн
Реферат На Тему Світовий Досвід І Міжнародне Співробітництво У Сфері Охорони Навколишнього Природного Середовища
Дипломная работа по теме Вдосконалення організації технічного обслуговування виробництва (на прикладі ПП "Ларіс")
Эссе Хороший Врач
Реферат: Дедушка
Сочинение: Произведения Н.В. Гоголя
Как Несметное Множество Церквей Сочинение
Реферат по теме Проблема 'искусственного интеллекта': технические и социально-этические аспекты
Курсовая Работа По Литературе 18 Века
Цыбулько Готовые Сочинения Огэ 2022
Курсовая работа по теме Аналіз господарської діяльності підприємства
Реферат: Аудит поступления основных средств
Курсовая работа по теме Разработка алгоритма и реализация игры "Реверси"
Дипломная работа по теме Особенности местного самоуправления в Санкт-Петербурге
Реферат: Kkk Essay Research Paper Ku Klux KlanThe
Доклад: Куинджи А.И.
Сочинение Огэ Настоящее Искусство По Тексту
Реферат: Ethics Of Abortion Abortion Essay Research Paper
Реферат На Тему Філософський Аналіз Мовної Здатності Як Вихідного Принципу Порівняння Мов
Дипломная работа: Понятие и методы контроля финансовых рисков
Лак Эсси Бордо
Финансы Общественных Организаций Курсовая
Учебное пособие: Основы права
Курсовая Работа Заказать В Бресте
Реферат: Доказательства страхового стажа
Реферат: Характеристика Норвегии
Как Писать Вступление В Сочинении Егэ
Дипломная Работа На Тему Пути Совершенствования Учета И Управления Товарно-Материальных Запасов На Предприятии В Казахстане
Исследование Готовности К Школе Курсовая
Контрольная работа по теме Технологический процесс обработки деталей
Фипи Английский Язык Темы Эссе
Написать Сочинение На Чувашском Языке
Реферат: Civial Affair Essay Research Paper A Civil
Эссе На Тему Культурное Наследие Казахстана
Сочинение Егэ Роль
Комментарий Свой В Сочинение Рассуждение 15.3 Сострадание
Примеры Содержания Магистерской Диссертации
Управление Логистикой Реферат
Реферат по теме Охрана труда в Финляндии
Дипломная работа по теме Формирование имиджа частного регионального телеканала (на примере телеканала 'НТС' 'Контакт-Медиа' г. Дивногорска)
Реферат На Тему Режим Дня
Дипломная работа по теме Исследование мотивационно-потребностной сферы супругов
Эссе Про Конституцию
Евразийский Экономический Союз Курсовая Работа
Нейромаркетинг Как Влиять На Подсознание Потребителя Реферат
Доклад: Абу Мусаб аз-Заркави
Курсовая работа по теме Оптовая торговля и её роль в повышении эффективности функции рынка
Курсовая работа: Мышление дошкольников. Скачать бесплатно и без регистрации
Реферат Театры В Архит
Курсовая Работа На Тему Характеристика Технологічного Обладнання Потокової Лінії Виготовлення Молочного Цукру І Рафінованого Молочного Цукру
Контрольная Работа Алгебраические Дроби 8 Класс Ответы
Контрольная Работа 1 Плотность Вещества
Мой Любимый Вид Спорта Тхэквондо Сочинение
Курсовая работа по теме Выбор и корректирование нормативов по ТО и ТР
Курсовая Работа На Тему Аналіз І Управління Грошовими Потоками Підприємства















































0">200">500\u0026ava\u003d1">


























