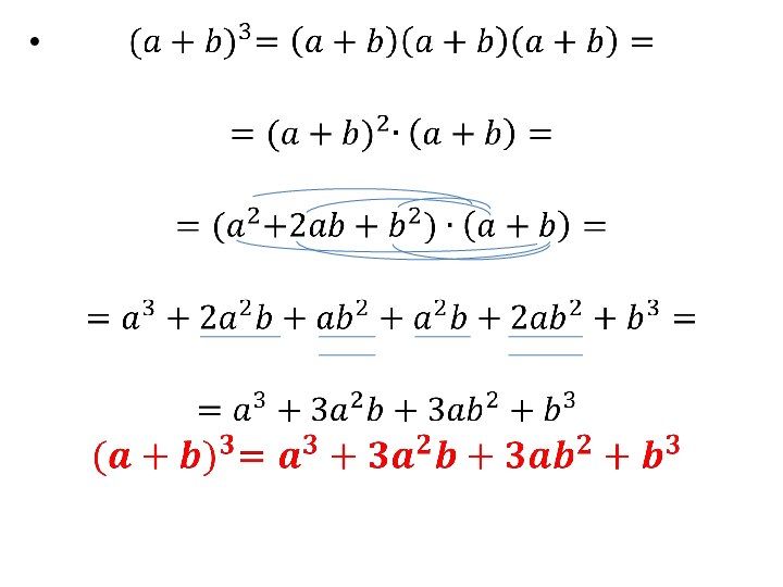
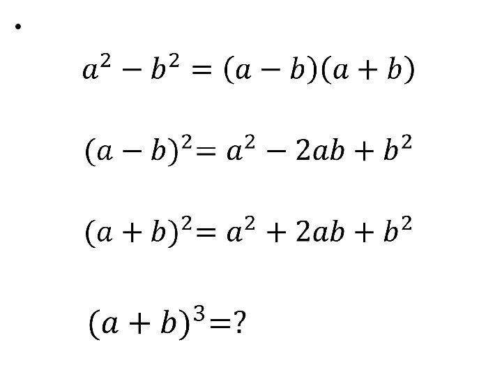
Куб суммы 2 выражений
Я голодал пока ты
Коды в standblox
Кто такие ваи
Чаша музыкальная для медитации
Незабудка песчаная светолюбивая или теневыносливая
Метки на звездочке распредвала
Авито авто газ москве
Игра коробка 6
Лунтик кинотеатр мир
1 микрон м
Кронштейн dk 55ts
Скины тоуки
Выкройка мухомора из ткани
Куб суммы 2 выражений 100 фото


































































































