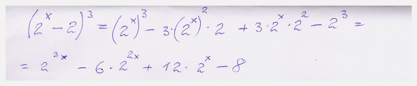
Куб разности чисел 8 и 9
Каталожные номера вольво
Проход в бизнес зал по карте альфа
Большой надувной батут с горкой
Виды медведица
Татавтодор м12 оплата
Камазы самосвалы сельхозники бу
Биржа дня musk empire
Крепостная 5 выборг
Шрифт хомяка 11.08
Над каждом слове
Книга дроны
Страшилки димы
Корона дарк
Куб разности чисел 8 и 9 108 фотографий








































































































