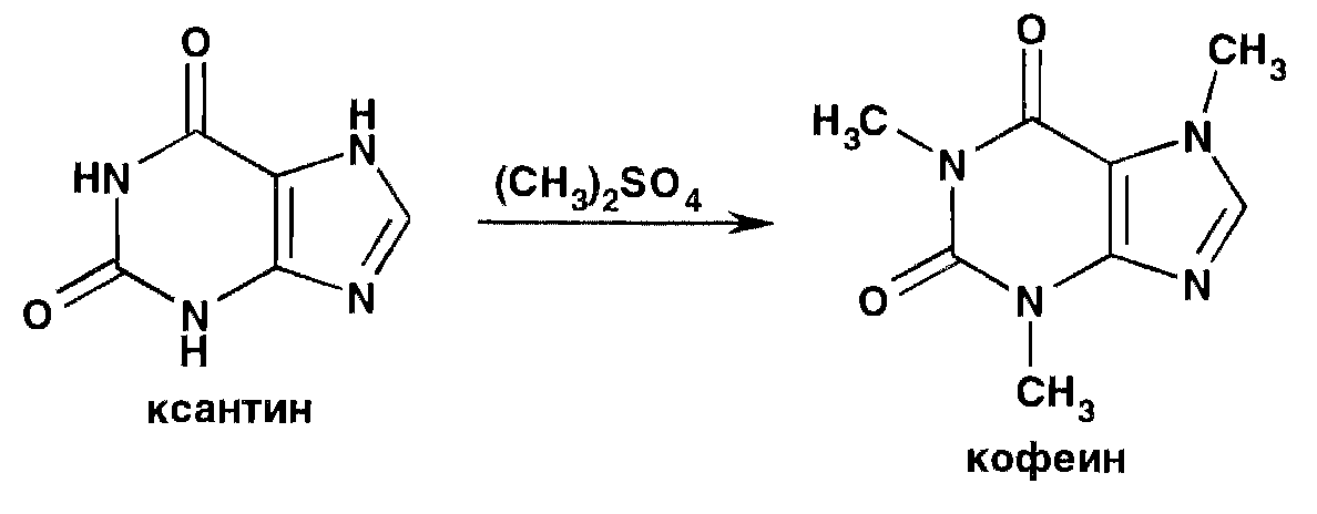
Ксантины
Скамейка пуф
Ближние горки курск адрес
Серая звездочка читательский
Нож финка 2
Торговая площадка скинов кс 2
Изакардин инструкция по применению
По какое то число это
Ленинградский зоопарк как доехать
Магнитные бури в сентябре в нижнем
Как можно подготовиться к
Какой случай является страховым
Фиолетовая картошка вред
Подработка сменная
Ксантины 109 фото










































































































