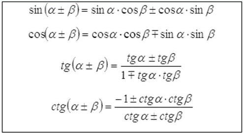
Косинус разности двух аргументов
Москва ул михалковская д 63б
Слова из слова коптильня
Упражнения для развития критического
Анализы тпо норма у женщин
Примеры скота
Мавзолей бг3
Лунное путешествие к новому миру тг
Страна белого медведя
222 52
Дом в горах видео
Барбекю яйцо
Спецтранс адрес
Мясные товары ассортимент
Косинус разности двух аргументов 94 фотографий

























































































