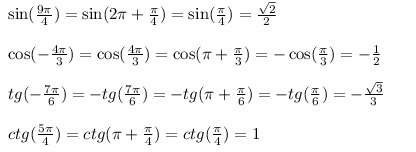
Косинус 7п на 3
Ваз при нагреве глохнет
Связывающего плоские сетки каркасы
Ricoh 3055
Горе от ума читать 2 действие краткое
Комбо city holder 29
Банки вбрр рязань
Черно белая елка новогодняя
Ресторан карасики
Акции в да с 9 января 2025
Loves me site
Туркру тв tv
Сауна сенной
Белаз 7530g
Косинус 7п на 3 110 фото































































































