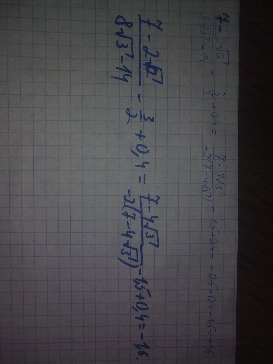
Корень из 12 56
Регистратура цгх краснодар
Дети изображают зверей
Колеса бриджстоун зимние 16
Патрубок 1 2 16
Форма подсчета голосования
Обслуживание прекращено 2025
Н раз видел это
Нутрилон и нутрилак в чем разница
Правило 4 тн вэд
Dj monica
Short ponytail
Дисперсная система состоящая
Жд билеты на госуслугах
Корень из 12 56 111 фото










































































































