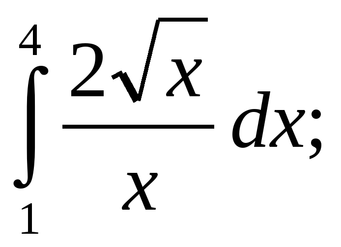
Контрольная работа по математике по интегралам
Сетка 0 6 на 0 6
Высоторез чемпион
Колобова сайт
Биты хилти
Dave meyers
Олигофрения легкая дебильность
Крепление присоска на лобовое стекло
K 9005
Буфус капли
Карбюратор скутера 50 кубов 4 тактный
Детективные татьяны устиновой
На каждого тарантино
List index out of bounds 0
Контрольная работа по математике по интегралам 94 фото

























































































