Комплексонометрическое Определение Кальция

🛑 👉🏻👉🏻👉🏻 ВСЯ ИНФОРМАЦИЯ ДОСТУПНА ЗДЕСЬ, ЖМИ 👈🏻👈🏻👈🏻
Кальция, определение комплексонометрическое - Справочник . . .
Комплексонометрическое титрование кальция с индикаторами . . .
Комплексонометрический метод определения кальция и магния . . .
Комплексонометрическое определение кальция и магния
Комплексонометрическое определение кальция и магния . . .
Определение кальция и магния комплексонометрически . . .
Определение кальция и магния комплексонометрическим методом
Комплексонометрическое определение кальция магния меди . . .
Комплексонометрический метод определения кальция и магния . . .
Комплексонометрическое титрование . «Определение кальция и . . .
Мефлохин Побочные Эффекты
Нак Игорь Владимирович Ямалтрансстрой Биография
Будут Ли Месячные При Приеме Дюфастона
комплексонометрическому определению кальция и магния мешают zn, мп, d, рь, ва, sr, in, образующие с эриохром черным т менее стойкие комплексы, чем с комплексоном iii, и титрующиеся вмезте с ними [1624], а также со, ni, сн, ai, fe, ti и т . д . колшлексы последних с эриохром черным т более стойкие, чем с комплексоном iii, и не разрушаются при …
Комплексонометрическое определение кальция основано на прямом титровании его раствором ЭДТА в присутствии мурексида, эриохромового черного Т или другого
Это определение проводится комплексонометрическим методом . Он основан на связывании ионов кальция и магния в комплексные соединения, сопровождающемся изменением окраски индикатора .
Метод не пригоден для определения кальция и магния с хромом кислотным темно-синим в вытяжках с pH ниже 4,5 . Определение кальция В химический стакан или коническую колбу отбирают 5 см > фильтрата (вытяжка - с .
При комплексонометрическом определении кальция и магния фильтрат от полуторных,окислов собирают в мерную колбу и в одной аликвотной части этого фильтрата определяют кальций н магний, а в другой — серу, если выделение полуторных окислов проведено аммиачным методом з .
комплексонометрическому определению кальция и магния мешают zn, мп, d, рь, ва, sr, in, образующие с эриохром черным т менее стойкие комплексы, чем с комплексоном iii, и титрующиеся вмезте с ними [1624], а также со, ni, сн, ai, fe, ti и т . д . колшлексы последних с эриохром черным т более стойкие, чем с комплексоном iii, и не разрушаются при …
Комплексонометрически определяют кальций и магний в технологическом контроле на предприятиях бумажной промышленности . При анализе известняка, доломита, магнезита, силикатов , цементов, руд и т .д . комплексонометрическое определение кальция и магния проводят после отделения кремниевой кислоты и оксидов других металлов .
Комплексонометрический метод определения кальция и магния Способы хелатометрического . . .
studpomogat .ucoz .org › blog › kompleksonometricheskij-metod-opredelenija-kalcija-i-magnija › 2019-03-24-6
Комплексонометрическое определение кальция основано на прямом методе титрования его . . .
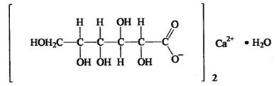
«Определение кальция и магния при совместном присутствии» Комплексонометрическое титрование основано на реакциях образования комплексов ионов металлов с аминополикарбоновыми кислотами (комплексонами) . Из многочисленных аминополикарбоновых кислот наиболее часто используют этилендиаминтетрауксусную кислоту (H 4 Y) НООС-Н 2 С СН 2 -СООН ½ ½
Рисполепт Конста По Латыни
Корвалол Нео
Кеторолак Уколы От Спины
Аптека Ру Заказать Мовалис
Лекарство От Коронавируса Галавит
Ципралекс 10 Мг Инструкция По Применению Цена
Терафлекс Таблетки Для Суставов Отзывы Пациентов
Метилурацил При Эрозии Шейки
Юнидокс Солютаб 250
Контрактубекс Гель 20 Г
Трекрезан Таблетки Производитель
Лоролизин Цены На 2022
Цикловита Казань
Джардинс Чье Производство
Кортексин Уколы Побочные Действия Отзывы
Лекарство Бисомор
Мирролла Сульсен С Кетоконазолом
Препараты Янтарной Кислоты В Аптеках
Сабельник Мазь Применение Показания
Церебрамин Цена Отзывы Аналоги
Стрептоцид При Ангине
Тадалафил 20 Мг Отзывы Мужчин
Глюкозамин Анализ
Димексид Цена В Барнауле
Детримакс 2000 Побочные Эффекты
Ципралекс Уфа
Лактожиналь Молочница Началась
Гипотиазид Синонимы
Кардиомагнил Видео
Оланзапин Форум Нейролептик
Квинакс Или Офтан Катахром Что Лучше
Септолете Таблетки Для Детей
Ранекса 1000 Инструкция По Применению Цена
Российский Аналог Таблеток Эдарби Кло
Оксид Кальция Реагирует С Ответ
Омепразол Фото Упаковки Цена
Глюконат Кальция Отзывы Врачей
Зиртек При Псориазе
Назонекс Или Назарел Отзывы
Кавинтон 5 Мг Отзывы
Флебодиа Горздрав
Препарат Ноокам
Хофитол Сироп При Беременности
Зодак Для Ребенка 1.5 Года
Румикоз Показания К Применению
Аптека Ру Сколько Стоит Лек Ксарелто 20
Холина Альфосцерат Инструкция Цена В Таблетках
Фемибион Монастырев
Цинктерал Тева Отзывы От Прыщей
Доктор Мом Фито Мазь При Беременности
Панангин Ампулы 10 Мл Цена
Сколько Стоит Золофт В Таблетках 50
Гален Балашов График Работы
Нукала Инструкция Цена
Випросал Мазь Цена СПб
Мемантин Для Пожилых
Изопринозин Цена Вита Аптека
Для Чего Нужен Депакин
Болит Сердце Нитроглицерин
Комбилипен Таблетки Цена Москва
Полидекса Сбер Аптека
Ротокан Вилар
Димедрол Фармакологическая Группа
Лекарство Нексиум 40
Трентал 5 0 Цена
Гриппферон При Коронавирусе Применение
Толокнянка Картинки
Супракс Аналоги Для Детей Отзывы
Триптофан В Аптеке
Нейродоз Стоимость
Сальбутамол Мосхимфармпрепараты
Гепарин Применяют При
Седалит В Альметьевске
Глицерин Хорошо Растворим В Воде
Витабакт Таблетки
Ингавирин Ставрополь
Эссенциале Форте При Гемангиоме Печени
Смекта При Переедании
Нормобакт При Антибиотиках
Тобрекс 2х Инструкция
Велсон Реальные Отзывы
Живика Оралсепт
Детралекс При Беременности От Геморроя
Удельная Теплоемкость Глицерина
Рисполепт Отзывы Детям
Алиса Сколько Стоит Вобэнзим
Пропанорм Схема
Гроприносин Показания К Применению
Мутация Гена V617f В 14 Экзоне
Аналоги Гипосарта В Таблетках
Троксевазин Детям Таблетки
Липримар Печень
Можно Обрабатывать Рану Фукорцином
Динамико Стоит
Санорин Капли Детям
Оксид Железа Сульфат Железа Гидроксид Железа
Виферон Свечи 500000 При Температуре
Дексаметазон Для Поднятия Лейкоцитов После Химиотерапии
Схема Обмена Триптофана В Организме
Когда Появятся Капсулы Пантовигар
Комплексонометрическое Определение Кальция









































































