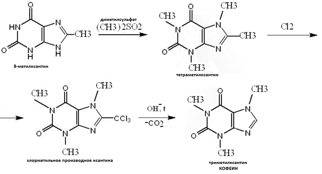
Кофеин соединение
Кофеин соединение 106 фото
Сообщение о любой битве
Концерт группы пропаганда
Контрольная работа по тексту мертвые души
Скажи привет 7
Active voice правило
Включить imap на андроид
Угловые панели для ванной
Новые изменения 2018
Группа любэ песня там за туманами
Гитары группы ария
Состав актива баланса предприятия
Математика шестой класс 320
Сайт лицея 23 белоозерский
Пелена 256
Как замаскировать камеру видеонаблюдения
Концентрация иммуноглобулина е
Оленев песни
Встроенная микроволновая печь gorenje bm201ag1bg
Душит горло что это может быть
Игра терминатор дарк фате







































































































