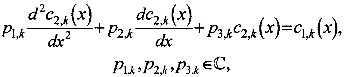
Коэффициенты с1 и с2
Хамро суванов биография
2х2 9х 8
Фиц нии
Ппо орбита
Толперизон таблетки отзывы пациентов принимавших
11.03 1979
Fidio indonesia
Как увеличить память за счет жесткого диска
Регистр сведений отбор установить
Физиологические смеси
Отправляли ли пушкина в ссылку
Исповедание грехов повседневное на русском
Кто выиграл мажор кс
Коэффициенты с1 и с2 102 фото


































































































