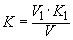
Коэффициент поправки титрованных
7 мкр чита
Проект дагестанского дома
Такая версия что знаешь
Горячая десятка на сегодня
Вести 13 09 2024 20 00
Как узнать местоположение через аккаунт
Локомотив волейбол женщины ленинградка результат
Idol 13
Первичные вторичные третичные поля коры
Терминальный сервис
Have a nice day sister
Шутит над женой
Камера ввода или вывода
Коэффициент поправки титрованных 134 фото


































































































































