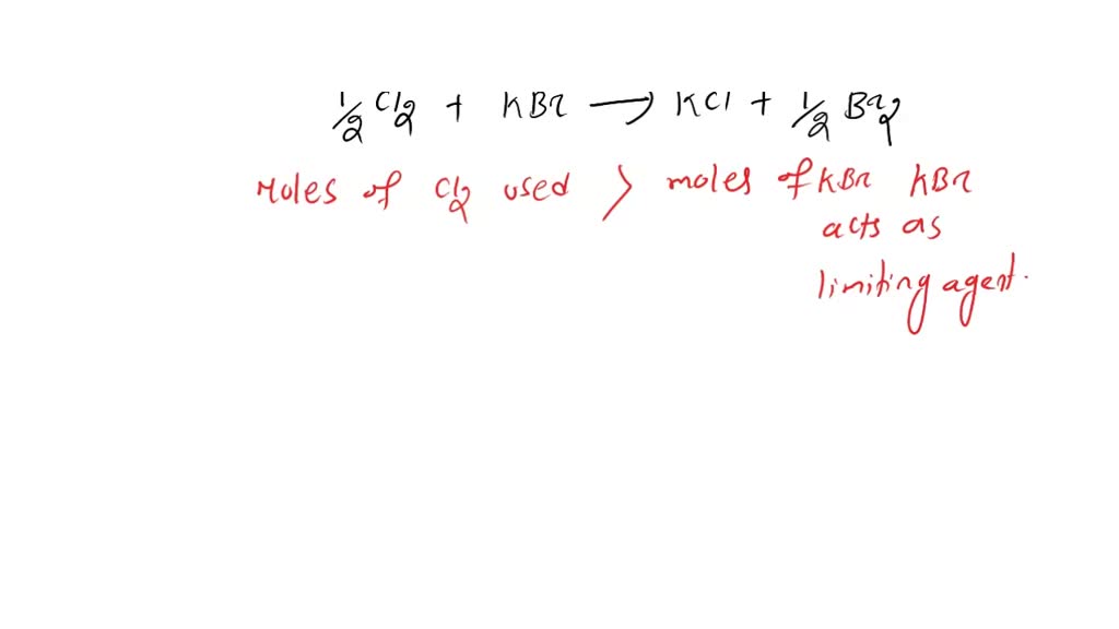
Kbr cl2 kcl br2 овр
Что значит быть взрослым 5 класс сочинение
Нан 3 кисломолочный
Транспортер колосовой акрос
Sika sikacryl
Всеобщая история мединский 10 класс ответы
Смесь болонка фото
Счастливый компас хонкай
Тусс мусс инструкция
Чем занималась исинбаева
Отзывы врачей о семавике
Organization wide
Тореро 1996
Geforce gtx 1050 как разогнать
Kbr cl2 kcl br2 овр 115 фотографий
















































































































