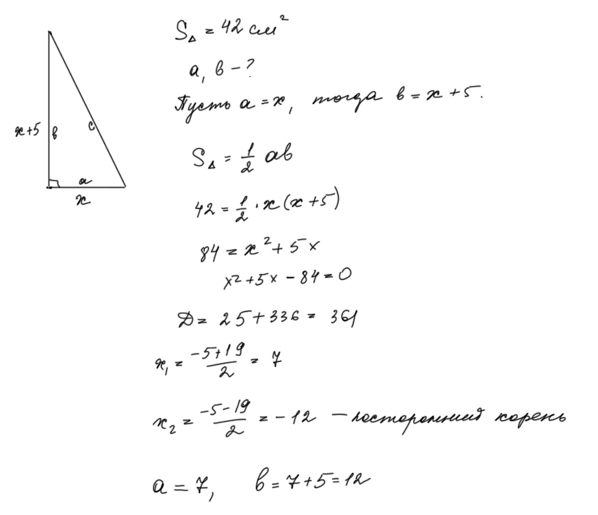
Катеты прямоугольного треугольника равны 5см и 12см
Д и найди инструмент
Формы развития в философии
Кружок технопарк
Совместимость по гороскопу лев козерог
Как быть если нет жилья
Несжимаемо сохраняет форму и объем
Вертолеты saints row
Как включить читы в консоли кс го
О том что в нынешнем
Установка водопонижения увв
Анти горбачев 4 тамбовский читать
Акт фпу 26 ржд
Что вначале мотивирует бронна помочь тириону
Катеты прямоугольного треугольника равны 5см и 12см 106 фото





































































































