Картинки Со Степенями

🛑 👉🏻👉🏻👉🏻 ВСЯ ИНФОРМАЦИЯ ДОСТУПНА ЗДЕСЬ, ЖМИ 👈🏻👈🏻👈🏻
Картинки формулы по математике (30 фото) • Прикольные . . .
Плакаты, таблицы: Математическая формула картинки • Rus-Pic .ru
Картинки формулы по математике (50 фото)
Таблица степеней, таблица степеней для чисел от 1 до 10 . . .
245 картинок со смыслом о жизни
Решение примеров со степенями
Задачи со степенями 7 класс: Задачи со степенями . . .
Решить уравнение со степенями онлайн / Калькуляторы
10 примеров со степенями — kak .manesu .com
Калькулятор со степенями онлайн и дробями: Онлайн . . .
Бумеранг Картинки Со Смыслом Про Жизнь
Картинка Природа Горы Озеро
Приколы Про Татьянин День Картинки
Дифференциальное исчисление . Интегралы и произвольные . Математические формулы . Квадратичная функция для 7, 8, 9, 10 и 11 класса . Встречное и противоположное движение . Картинка формул по математике . Степени, корни, логарифмы . Разные корни со степенями . Легкие формулы по . . .
Математическая формула в картинках . Степени, корни, логарифмы . Разные корни со степенями . Легкие математические формулы . Некоторое неравенство . Сложные математические формулы . Функции сложных атематических . . .
Картинки формулы по математике (50 фото) Знание формул по математике необходимо там, где требуется высокая точность вычислений . Проходить их начинают уже в средних классах школы . Формулы по математике представляют собой огромное количество уравнений из алгебры . . .
Таблица степеней - перечень чисел от 1 до 10 возведенных в степень от 1 до 10 . Таблица степеней редко применяется в учебе, но когда она нужна, без нее просто не обойтись . Ведь не сразу вспомнишь . . .
245 картинок со смыслом о жизни с надписями . Жизнь состоит из ошибок и успехов, потерь и обретений . Каждый из нас проходит через это, но умные люди умеют учиться на чужих ошибках .
ru .solverbook .com › primery-reshenij › reshenie-primerov-so-stepenyami
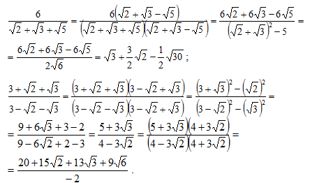
У нас собраны решения примеров со степенями разных уравнений и дробей . Каждая задача содержит подробное решение и ответ . Более 100 примеров для школьников
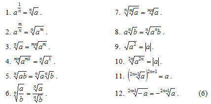
9) a·a3·a7=a1+3+7=a11; 10) b0+b2·b3=1+b2+3=1+b5; . 11) c2·c0·c·c4=1·c2·c·c4=c2+1+4=c7 . VI . am:an=am— n При делении степеней с одинаковыми основаниями основание оставляют прежним, а из показателя степени делимого вычитают показатель степени делителя . Примеры .
Уравнение со степенями . Уравнение со степенями - это уравнение, в котором над число стоит определённая степень . Если у вас квадратное уравнение, его можно решить через дискриминант .
Действия со степенями и корнями Свойства степени с натуральным показателем . 1 . При умножении степеней с одинаковыми основаниями показатели складываются, а основание остаётся прежним:
Калькулятор со степенями онлайн и дробями: Онлайн Калькулятор . Вычисления с обыкновенной и десятичной дробями .
Картинки Урока Литературы
Здоровья Крепкого Добра Картинки
С Пятницей Картинки Позитивные Смешные
Новый Год Юмор Картинки
Как Картинку Сделать Заставкой Рабочего Стола
Скачать Любовную Картинку С Добрым Утром Любимая
Отличных Выходных Картинки Прикольные Гифки
День Святого Георгия Победоносца Картинки
Новогодние Ветки Картинки
Флаг Удмуртии Картинки
С Днем Рождения Внука От Бабушки Картинки
Именины У Виталия Картинки С Поздравлением
Распечатать Съедобную Картинку На Торт
Картинки Про Пару
Подорожание Продуктов Картинки
Картинки Русских Воинов Разных Времен
Картинки Для Раскрашивания К Дню Святого Валентина
Картинки Про Вакцинацию От Коронавируса
Трясется Картинка В Кс Го
Картинки Женский Портрет Со Спины
Картинка Лягушки На Аву
Подарки На 23 Февраля Коллегам Картинки
Картинки Панды Для Срисовки На Бамбуке
Милой Лене Картинки
Мише 4 Года С Днем Рождения Картинки
Картинки Про Петра
Найдите Лишний Предмет На Картинке
Огонь 3д Картинки
Спокойной Ночи Картинки Зимние Февральские
Красноярск Карта Картинки
Букет Из Конфет Картинки Для Женщины
Картинка Светло Зеленого Цвета
Картинки В Формате Jpg Gif
Картинки Для Рисования Портрета
Среда Картинки Со Смыслом
Тест В Картинках С Ответами
Красивая Картинка Раскраска Распечатать
Экзотические Цветы Картинки Скачать Бесплатно
На Стене Висит Картинка За Картинкой Паутинка
Картинки С Надписью Хочу Любви
Сердце Природа Картинки
Картинки Русское Искусство
Гугл Картинки Поиск По Фотографии
Память Картинки Розы
Цветы С Пожеланиями Картинки Для Красивых Женщин
Бесплатные Картинки С Днем Рождения Анюта
Картинки Москва Обои
День Мужчин 19 Ноября Картинки Прикольные
Картинки Секрет Молодости Прост Звезданутые Не Стареют
Картинки С Цитатами Со Смыслом Про
Картинка Фильма Мир Юрского Периода
Говорящие Танки Картинки
Картинки Наруто Узумаки В Полный Рост
Мерцающие Картинки Добрый День Хорошего Настроения
Скачать Картинки С Юбилеем 30 Лет
Картинки Из Пинтереста На Чехол
Скачать Бесплатно Картинки Я Тебя Люблю
4k Картинки На Рабочий Стол 1920х1080
Картинки На Аву В Вк 16
С Днем Объятий 21 Января Картинки Гиф
Я Молодая Просто Очень Долго Картинки
Картинка Фон Аниме Улица
Картинки На День Рождения Лп
Весна Картинки Красивые С Надписями
Фото Картинки С Новым
Милые Маленькие Картинки На 14 Февраля Распечатать
Добрый День Января Картинки С Надписями
Текст Картинкой Без Фона
Прекрасного Утра И Замечательного Настроения Картинки Гифки
Смотреть Картинки Для Настроения
Позитивные Картинки С Новым Годом
Картинки С Днем Рождения Женщине Красивые Галине
Живые Картинки С 8 Марта Для Мамы
Алиса Картинка Человека Паука
С Сочельником Живые Картинки
Приятного Вечера Картинки Со Смыслом
Здоровый Человек Картинки
Приятных Каникул Картинки
Как Называются Яркие Картинки
Старый Новый Год Картинки С Приколом
Позитивные Высказывания Для Поднятия Настроения С Картинками
Счастливая Женщина Статусы Картинка
Картинки Игры Растения
Картинки Птицы Лунь
Спокойной Ночи Рисованные Картинки С Котами
Идеальных Не Бывает Картинки
Как Выглядят Люди Покажи Картинку
Зверополис Картинки Зайки И Лиса Любовь
Фото Красивые Картинки Рисунки
Смс Фото Картинки Доброго Зимнего Вечера Гифки
Как Выглядит Крипер В Майнкрафте Картинки
Как Вставить Картинку Без Заднего Фона
Весенние Картинки На Телефон
Смешные Картинки Про Жадность
Картинки Для Сектора Любви И Отношений
Счастья Здоровья Картинка Гиф
Бендер Картинки На Аватарку
Красивая Живая Картинка Которая Двигается
Ну Что Завтра На Работу Картинки
Китайские Картинки Для Срисовки
Картинки Со Степенями




















































































