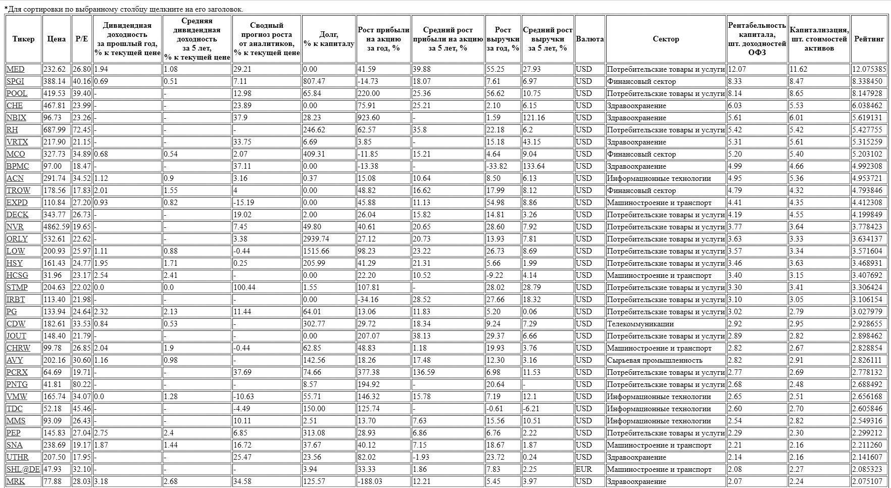
Карта рынка акций
Список алгоритмов канала ASPCT analyticsРазместив на плоскости, в зависимости от цены и рентабельности, акции можно сгруппировать в пять основных групп.

🟢 Акции стоимости (value stocks) - недооцененные рынком бумаги, с высокой рентабельностью бизнеса. У них:
- рентабельность > доходности ОФЗ
- рентабельность/доходность ОФЗ > капитализация/стоимость активов
Скупка недооцененных надежных акций стоимости - отличная стратегия для долгосрочного инвестора. Чем правее и ниже на карте находится бумага, тем более рентабельный и недооценённый рынком у этой компании бизнес.
Время от времени цена таких акций заметно вырастает и бумага сдвигается на карте вверх в область справедливой оценки. ❗️ Но покупать эти бумаги в надежде скорый рост их цены не слишком удачная идея, помните что рынок может оставаться иррациональным дольше, чем вы платежеспособным.
Также иногда оказывается, что высокая рентабельность бизнеса была временным явлением и тогда, по мере снижения рентабельности, бумага сдвигается по карте влево к более справедливой оценке.
🟡 Акции дохода (income stocks) - бумаги торгующиеся по справедливой рыночной цене. У них:
- рентабельность/доходность ОФЗ = капитализация/стоимость активов
С выбором акций среди этих бумаг все просто так как цена всех из них является справедливой согласно данной методике. Хорошей идей выглядит покупка наиболее рентабельных т.е. тех кто располагается на карте в правом верхнем углу.
🟠 Переходные, дрейфующие от 🟡 к 🔴 и обратно - несколько переоценённые бумаги, чем ближе они находятся к зоне акций дохода тем больше их цена близка к справедливой. У них:
- рентабельность/доходность ОФЗ < капитализация/стоимость активов
- капитализация > стоимости активов
В этой зоне могут находится как переоцененные акции дохода так и акции роста которые уже начали приносить прибыль. Поэтому для их сравнения подойдет как метод оценки рентабельности 👆(как для 🟢акций стоимости), так и метод оценки скорости роста чистой прибыли 👇(как для 🔴акций роста).
🔴 Акции роста (growth stocks) - сильно переоценённые относительно их рентабельности бумаги, но инвесторы соглашаются покупать их по этой цене в надежде на будущий рост их доходов. У них:
- рентабельность < доходности ОФЗ
- капитализация > стоимости активов
Инвестируя в бумаги из этой группы стоит помнить, что вы делаете ставку на успешную реализацию планов компании сопряженных с ростом ее доходов в будущем. При этом неплохо бы иметь представление о сути этих планов и отслеживать их выполнение, хотя бы раз в квартал, чтобы иметь возможность выйти из сделки вовремя, в случае их невыполнения.
Один из вариантов оценки возврата инвестиций в акции роста выглядит следующим образом. Допустим акция имеет мультипликатор P/E равный 1000 (что совсем недавно мы наблюдали на примере Tesla) т.е. текущая чистая прибыль компании окупит инвестиции в нее через 1000 лет. Чистая прибыль таких компаний обычно сильно растет год к году (поэтому их и называют акциями роста). Допустим мы прогнозируем что она будет расти экспоненциально (в 2.7 раза каждый год) в течении пяти лет, а потом стабилизируется. Тогда через пять лет срок окупаемости сегодняшней инвестиции ускорится до семи лет (P/E к текущей цене станет равным 7), плюс прошедшие пять лет, итого грубо через двенадцать лет инвестиция вернет вложения и начнет приносить прибыль. И, да, эта прибыль к текущим вложениям будет составлять неплохие 15% каждый последующий год, но это лишь через 12 лет и при условии экспоненциального роста чистой прибыли. Поэтому при инвестировании в акции роста так важно отслеживать выполнение планов заложенных в расчет. Например в данном примере при снижении скорости роста чистой прибыли "всего" до "в 2.0 раза в год" срок окупаемости отодвинется уже на 36 лет вперед.
❗️ Так же нужно упомянуть что акции данной группы часто становятся любимчиками спекулянтов, так как их справедливую стоимость определить довольно сложно (а иногда и вовсе невозможно) поэтому она имеет повышенную волатильность и может сильно меняться в зависимости от появляющихся новостей.
⚫️ Убыточные акции. У них:
- рентабельность < доходности ОФЗ
- капитализация < стоимости активов
В эту зону попадают бумаги рентабельность бизнеса которых меньше условно-гарантированной доходности облигаций федерального займа (ОФЗ), а стоимость самой компании меньше совокупной стоимости ее активов. С точки зрения инвестора покупка таких бумаг не выглядит привлекательной. Выбирая к покупке акции из этой группы следует тщательно разобраться в причинах столь низкой их стоимости и рентабельности и четко понимать как компания планирует выбираться из сложившейся ситуации ведь в противном случае выгоднее просто купить ОФЗ и получать гарантированный купон от государства чем рисковать, вкладываясь в подобный бизнес.
⚠️ Раз в сутки со вторника по субботу в 03:30 мск (после закрытия рынков) скрипт собирает данные о текущих значениях прибыли, долга, капитализации, рентабельности компаний и строит "Карту рынка". Карта оформлена в виде отдельных таблиц для каждой категории акций. Графа рейтинг - для поиска наиболее рентабельных и недооцененных.

Доступ к ежедневно обновляемым спискам бумаг через @ASPCT_analytics_bot