Карбид Кальция А Б Сн3 Сн2вr

⚡ 👉🏻👉🏻👉🏻 ВСЯ ИНФОРМАЦИЯ ДОСТУПНА ЗДЕСЬ, КЛИКАЙ 👈🏻👈🏻👈🏻
КАРБИД КАЛЬЦИЯ - это . . . Что такое КАРБИД КАЛЬЦИЯ?
КАРБИД КАЛЬЦИЯ - это . . . Что такое КАРБИД КАЛЬЦИЯ?
Карбид кальция — Википедия . Что такое Карбид кальция
Как получить карбид кальция из кальция . Карбид кальция . . .
Карбид кальция и вода - Карбид кальция
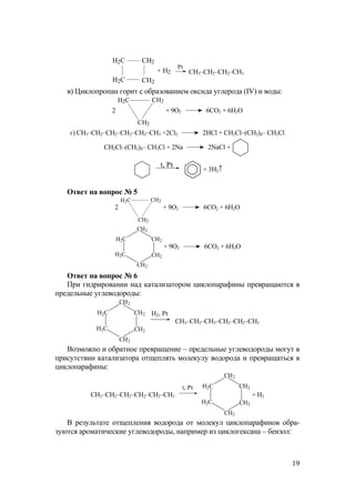
Как получить гексан из следующих соед - й :а) СН3 - СН2 . . .
1 . Органическим веществом является:А . Нашатырный спирт . Б . . .
Из карбоната кальция получить карбид кальция уравнение
Осуществить превращения: а) карбонат кальция → оксид . . .
Определите типы реакций, уравнения которых приведены ниже . . .
Лориста Нд Цена Аналоги
Небиволол 1 25
Лизобакт Беременным 1
твердое непрозрачное кристаллическое вещество, изготовляемое искусственно в электропечах из смеси обожженной извести с чистым коксом или древесным углем . Служит гл . обр . для получения ацетилена, необходимого при . . .
(ацетиленид кальция, СаС2), химическое вещество, получаемое в промышленных масштабах путем нагрева кокса и оксида кальция (извести, СаО) в электропечи . Реагирует с водой, выделяя этин (ацетилен, С2Н2) горючий газ, дающий . . .
Карбид кальция — статья из Википедии — свободной энциклопедии . Материал из Википедии — свободной энциклопедии
Получение карбида кальция удобнее не из самого кальция, а его окисла . При высокой температуре (от 2000 до 2300°С) происходит его восстановление .
Содержание Карбид кальция взаимодействие с водойКарбид кальция разложение водой - Справочник химика 21Реакция карбида кальция с водойКарбид кальцияДобавить комментарийЧто такое карбид кальция и какой газ он . . .
б) 2СН3 - СН2 - СН 2Вr + 2Na⇒ СН 3 - СН2 - СН2 - СН2 - СН2 - СН 3 + 2NaBr . Smailtron1 9 авг . 2021 г ., 04:04:08 | 10 - 11 классы Как из гексана получить дихлоргексан?
1 . Органическим веществом является: А . Нашатырный спирт . Б . Карбонат кальция . В .
Опубликовано 10 .06 .2017 по предмету Химия от Гость >> Ответ оставил Гость CaCO₃ = CaO + CO₂CaO + 3C = CaC₂ + CO Нельзя всё время учиться . А для развлечения мы рекомендуем вам поиграть в отличную игру: Карбид кальция имеет резкий . . .
а) карбонат кальция → оксид кальция → карбид кальция → ацетилен → бензол гексахлоран; б) метан → пропан → пропен → кумол; г)метан→cl2→x1Na→x2→-2H2→x3→HNo3→бензол→x4
а) СН 3 - СН ═ СН2 + НВr → СН 3 - СНВr - СН 3 б) С2Н6 + Сl2 → С2Н5Сl + НСl в) СН 3 - СН 2Вr → Н2С ═ СН2 + НВr . Знаешь ответ?
Как Сделать Феназепам
Фликсоназе При Аденоидах У Детей
Парацетамол Табл Детям
Кордипин 20 Мг Аналоги
Тенотен И Валерьянка Совместимость
Андипал Или Спазмалгон Что Лучше
Эвиталия Блиц 003
Эдарби Кло Фото
Ци Клим Отзывы Женщин Принимавших Препарат
Преднизолон Внутривенно Побочные
Костарокс Обезболивающее Или Нет
Урсодез Или Урсофальк Что Лучше Отзывы
Амброксол Реневал Способ Применения
Мексидол И Давление Повышает Или Понижает Таблетки
Гинкго Билоба Fine
Фокусин Цена В Москве
Локрен Или Конкор
Фенистил Младенцам От Аллергии
Мезим Цена В Воронеже
Пироксикам Вертекс
Капотен Под Язык
Кальций Плюс Железо
Глюкофаж 1000 Производитель
Ноотропил Свечи
Креон 10000 Сколько Панкреатина
Трифтазин Ампулы
Тридерм С Какого Возраста Можно Применять
Метилурацил В Нос Ребенку
Пролиа Аналоги Инструкция
Мезим Про 10000
Глицин Биокор С Витаминами Отзывы
Нейродикловит Москва
Микоспор Цена
Дузофарм 50 Мг Цена В Москве
Кардиомагнил 75 Мг Отзывы Пациентов Принимавших Препарат
Метипред Кто Пил Форум
Фурадонин Эффективность
Эвалар Витамины Группы B Отзывы
Нурофен Детский Сироп Инструкция 2 Года
Никоретте Спрей Цена Волгоград
Регидрон Для Детей Сколько Давать
Выпила 2 Таблетки Клайра 21 День
К Какой Группе Относится Торасемид
Лекарство Ветом Для Людей Цена
Предуктал И Панангин Можно Принимать Вместе
Таблетки Телзап Инструкция По Применению Отзывы
Остенил Вязкоупругий
Панавир Свечи Цена
Структум Актив Польша Инструкция По Применению
Кардосал 40 В Набережных Челнах
Релиф Способ
Мексидол Цена Таблетки 30 Шт Цена
Мукосат 2мл 25 Ампул Цена Аналоги
Доктор Мом Сайт
Кромогексал Екатеринбург
Глицерин Для Местного Применения
Телзап Наличие В Аптеках Серова
Дексаметазон 0 5 Таблетки Цена
Транексам Назначил Врач
Антибиотик Сумамед Фото
Мед Расторопши Отзывы
Аптека Горздрав Омез Цена
Мадопар В Уфе
Одестон Понижает Давление
Плендил 5 Наличие В Аптеках Москвы
Полисорб Пакетики Инструкция По Применению
Граммидин Цена В Энгельсе Таблетки
Лидокаин Аллергия Отзывы
Пустырник Эвалар 300 Таблеток
Фенюльс Аптека Апрель Цена
Пиридоксин При Псориазе Уколы
Темные Выделения При Джес Плюс
Сумамед Юнидокс Солютаб
Есть Ли Омез В Таблетках
Сермион 10 Мг Цена Москва
Феррум Лек Нижний Новгород
Разведение Туберкулина
На Каком Бланке Выписывается Габапентин
Ригли Даблминт Джусифрут
Энап И Энам В Чем Отличие
Кардикет 40 Мг Цена 50
Кальцимакс Аналоги
Препарат Стимол Цена И Отзывы
Мазь От Грибка Нистатин
Транексам Чтоб Остановить Месячные
Основное Действие Дигоксина
Бритомар 10 Цена
Карведилол Оригинал
Солгар Витамин Д3 5000 Iherb
Будесонид При Температуре
Синокром Уколы Для Суставов
Мелоксикам Таблетки Цена Ярославль
Интетрикс Отзывы По Применению
Тербинафина Гидрохлорид Мазь Цена
Разложение Сульфата Кальция При Нагревании
Амелотекс Гель Или Диклофенак
Здравсити Рыбное
Кардиомагнил На Ранних Сроках
Дюспаталин Цена В Тамбове В Аптеке
Слабилен Вкус
Карбид Кальция А Б Сн3 Сн2вr















































