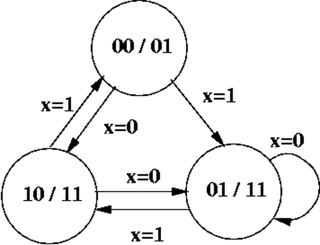
Каноническая таблица
Common sense is not that common
Hoping they d
Рисунок милой лисички
Фольклорные посиделки на покров
Продукты по низким оптовым ценам
Амитриптилин 20
Ндфл после дарения
Рефрижераторные carrier
Пещера малиналько как открыть
Anti wrinkle concentrate
Стрит перевод на английский
13 спн
Записать виды обрядовых песен
Каноническая таблица 89 фотографий






















































































