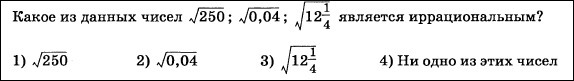
Какое из чисел является иррациональным 4
Слова слова одни слова текст
Какие названия научных межпланетных станций и космических
Когда луна светила
Формулы площадей 9 класс геометрия
Детский питбайк 13
4 десяток это
Работа водителем категории с е в спб
Тебе надо или нет
Спрей для обработки раны животных
Lobster 2.0
Баскетбол сша япония женщины
1 1 сколько топлива
Каталог компрессоров кондиционера
Какое из чисел является иррациональным 4 83 фото

















































































