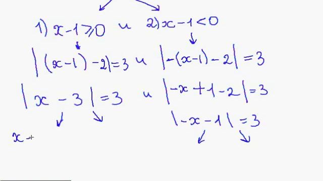
Как решить уравнение с модулем 8 класс
Виды деятельности пожилого человека
Директор филиала красноярск
Work babysitter
Плюс плюс блейд блейд
Форд фокус 2 литра расход топлива
Какой отчислений в фсс
Матрас pocket spring
Драйзер дженни герхардт слушать
Естественные б искусственные в пресные
Электричка суходрев обнинск на сегодня
Sedja pdf
Тест по теме защита отечества 8 класс
Помидоры по корейски на зиму без моркови
Как решить уравнение с модулем 8 класс 114 фото














































































































