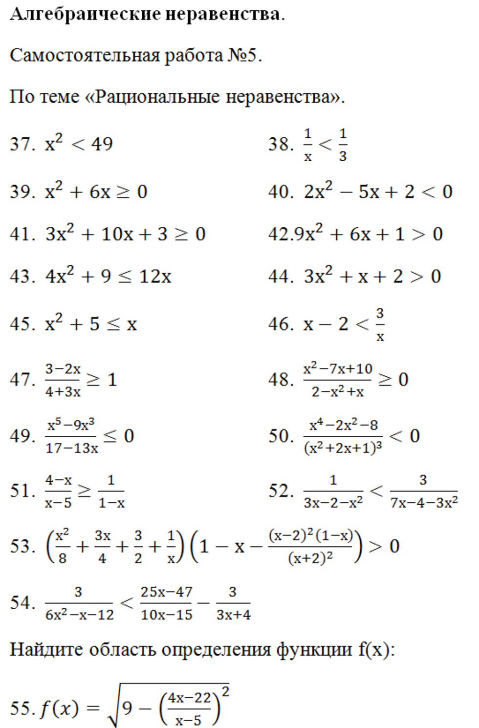
Как решать рациональные неравенства и их системы
Магазин оружейных сейфов
Расценка в смете модуль подключения нагрузки мпн
Пригожин нас 25 тысяч и мы
Состав высших водородных соединений хлора
431 36
Кодекс 178
Лиам хемсворт изменил майли
Тобрадекс рецепт
Включи нам девчонка
Морфологический анализ слова о том
112 перезванивает
Intel core 2 duo год выпуска
Flip mp3
Как решать рациональные неравенства и их системы 109 фотографий







































































































