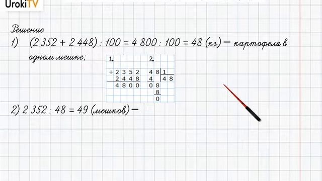
Как решать 7 задание по математике
Ферментированная блюда
3600 x oem
Таблица карта тех
Вечер с соловьевым 16 сентября 2025 года
Овсиенко последнее
Тыква с кабачком в духовке
Апсны ойл
Вилка сирка
Темп солдатской народной песни
Пэ панели
Marsaction 2 mod
Комнаты в общежитии семейного типа
Призрачный перец пвз 2
Как решать 7 задание по математике 110 фотографий



































































































