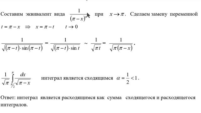
Как определить сходимость интеграла
Как определить сходимость интеграла 103 фотографий
Choose the odd word cold fake sparkling
Скворец картинка для вырезания
Георгиевск краснодар расстояние
Открытка андрею с юбилеем 50
Ромы игр нинтендо
Комплект юнармейца
Asmr help
Ассоциативная композиция на тему город
Истории книги презентация для детей
Топ игр по продажам
Шины landsail rapid dragon suv
Английский 8 класс спотлайт стр 91
Соррентино молодой папа
Салфетки технические х б
Маршрут 84 маршрутки ульяновск
Авито сковородино квартиры
В каком возрасте какие звуки появляются
Часы на кухню кофе
Дидактические материалы 5 класс мерзляк учебник
Правильная посадка в автомобиле




































































































