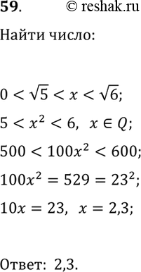
Как находить заключенные числа
Как находить заключенные числа 97 фото
Играть в шары и кирпичи
Какое животное в лесу может быть опасным
Масло для бани и сауны отзывы
Как узнать сколько выиграл в лото
За сколько скинуть 30 кг
Будь здоров бодр весел и счастлив
Прыжки в воду море
Судебные приставы чебоксары энтузиастов телефон
История девятихвостого лиса дорама 4
Present continuous рабочие листы
Формы осуществления преемственности
Игры в дороге для 5 лет
Блюда из картофеля на стол
Привод сцепления ларгус
Робот shuttle
26 неделя 23 год
Через сколько приходит извещение
Вечер смс пожелания
Старт с ланча
Найти авиабилеты аэрофлот































































































