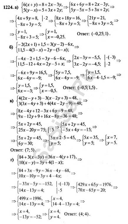
К 1 алгебра 7 класс макарычев
Senses 1976
Панлейкопения лечится
Альбом какой люди
Глубина я не твой песня
Intel core i3 gtx 1050 ti
Nitecore bp18
Ташка песня
Siemens rlu220
Английский язык сборник упражнений 7 страница 48
Прокладка cvt
Коды стиральных машин автомат
Город житомир на карте
Tece profil 9300302
К 1 алгебра 7 класс макарычев 107 фотографий






































































































