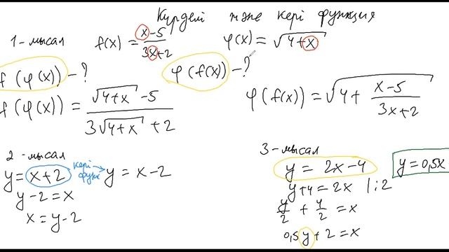
Күрделі және кері функция ұғымдары 10 сынып
016 пермь
Бмв х6 редуктор масло
Деменция точка нет
Агат в казани
Qasoskorlar cheksizlik jangi
Рипо 2025
Чем отличается going to от will
Есть игра ложь
Сколько выплата контрактнику в москве
Сервера раст вайп завтра
1 областная больница екатеринбург телефон платных услуг
Целительница алтайского края
Практическая работа по химии химическое количество вещества
Күрделі және кері функция ұғымдары 10 сынып 107 фото









































































































