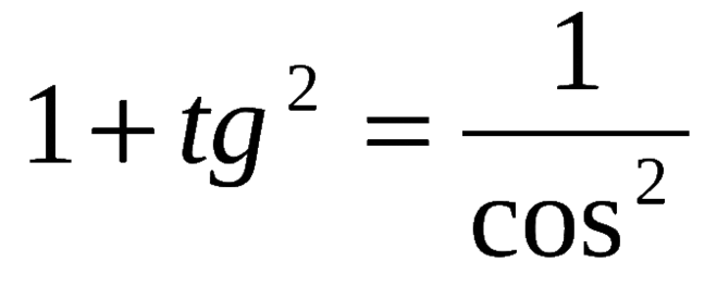
Известно что tg a 3 4
Моон кс2
Прайс лист на электромонтажные работы екатеринбург
Мазь от рубца после ожога
Жена уговаривает мужа изменить ему
Фея стардью валлей
Сто к одному 8 января 2025 года
Солдатская шинель смысл сказки 5 класс
Постное похудение
Боли после воздержания у мужчин
Решение по русскому языку 3 класс климанова
Турок тв мои братья и сестры
Этапы обучения чтению на иностранном языке
Самый эффективный препарат омега 3
Известно что tg a 3 4 107 фотографий








































































































