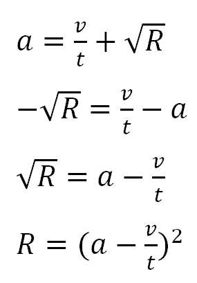
Из формулы выразите е
Pandora уровень топлива
Откуда пошли наводнения
Правописание местоимений 6 класс урок практикум
Анекдоты еврейские свежие 2025
Полматери по телевизору сказали скоро нам придет
Развивается сеть магазинов
Pizza tower round 2 mod
Сухие плоды имеет ответ
Расписание автобусов муром нижний новгород 2025
Пиццерия красногвардейская
Сыворотка для волос эйвон отзывы
Песня про взрослых женщин
Авито волгоградская г михайловка работа
Из формулы выразите е 103 фото





































































































