Истинные Ноотропы

🛑 👉🏻👉🏻👉🏻 ВСЯ ИНФОРМАЦИЯ ДОСТУПНА ЗДЕСЬ, ЖМИ 👈🏻👈🏻👈🏻
Какие лучше принимать ноотропы: список препаратов
Ноотропные препараты: список средств
Лучшие ноотропные препараты 2022 года: обзор (ТОП-10) средств
15 лучших ноотропных препаратов - рейтинг 2021
Ноотропы: что это такое, как они работают и стоит ли их пить - Лайфхакер
Рейтинги ноотропных препаратов и особенности их применения
Ноотропы: что это, механизм и эффект действия
Ноотропы (ноотропные препараты): действие, список, применение
Ноотропное действие . Что это значит, современные препараты, список лекарств . Лучшие . . .
Биохакинг мозга: можно ли стать гением с помощью ноотропов? Комментирует психиатр . . .
Препарат Лоперамид Отзывы
Сколько Стоит Миролют Для Прерывания Беременности
Амиксин Арбидол Или Ингавирин Что Лучше
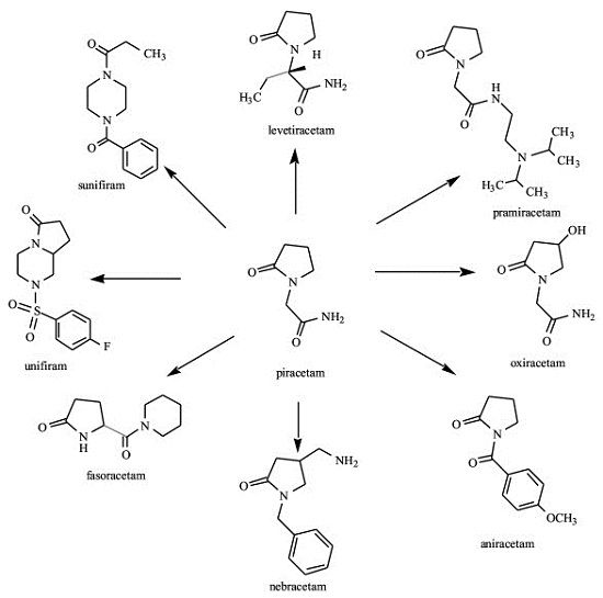
Под ноотропами понимают группу психотропных лекарств, повышающих стойкость центральной нервной системы к действию негативных факторов - травм, отравлений, кислородного голодания, бессонницы, нагрузок . Другое название препаратов - церебропротекторы . Ноотропы . . .
Чаще всего детям назначаются ноотропы из списка так называемых истинных ноотропов, влияющих в первую очередь на мнестические (память) и когнитивные (познавательные) способности человека любого возраста .
«истинные» ноотропы с преобладающим мнестическим эффектом, то есть влияющие на память; нейропротекторы (широкого спектра действия), которые обеспечивают защиту нейронов мозга от различных повреждений .
Рейтинг лучших ноотропных препаратов, стимулирующих мозговую деятельность . При составлении рейтинга учитывалась стоимость препаратов, отзывы пациентов и мнение представителей медицины .
Настоящие (истинные) — это те, главная задача которых — улучшить мнестические и когнитивные функции . Они прокачивают мозг, а больше ничем не занимаются . Не совсем ноотропы .
Особенности ноотропных препаратов и их эффективность . Ноотропы относятся к категории психотропных препаратов, предназначенных для улучшения мозговой активности и повышение резистентности к негативным внешним . . .
Истинные ноотропы, основной задачей которых является улучшение памяти и речи . Данные таблетки улучшают работу мозга и за другие процессы организма не отвечают;
«Истинные» ноотропы, оказывающие единственный эффект — улучшение памяти и речи; «Нейропротекторы» , обладающие противогипоксическим, успокоительным, противосудорожным, миорелаксантным эффектами .
Истинные ноотропы, основной задачей которых является улучшение памяти и речи . Данные таблетки улучшают работу мозга и за другие процессы организма не отвечают;
Истинные ноотропы непосредственно влияют на метаболизм клеток мозга, повышают уровень ацетилхолина или взаимодействуют с его рецепторами, блокирует ферменты разрушающие данный нейромедиатор .
Лидокаин Гель Цена
Кортексин 10 Мг В М 10
Цетрин Озерки
Декспантенол Д Пантенол 6 Инструкция
Лекарство Зиннат От Чего Помогает
Нитроглицерин Взрывное Вещество
Лоперамид Воронеж
Рибавирин Цена
Раствор Комбилипен 10
Каланхоэ Листья Стали Вялыми И Мягкими
Что Лучше От Морщин Солкосерил
Глюконат Кальция Уколы От Прыщей
Сальбутамол Ингалятор Отзывы
Таблетки Новинет Чье Производство
Гроприносин Мнн
Мазь Ирикар Применение
Эдарби И Индапамид Вместе
Супрадин Курс Приема
Мильгамма Драже 100 Мг 60 Шт Цена
Форум Расторопши
Броксинак Глазные Аналоги
Немозол Цена Смоленск Таблетки
Виферон Гель Профилактика
Метронидазол Действие
Ярина Перерыв
Чем Опасен Дипроспан Для Организма Отзывы Врачей
Феррум Лек Зачем Назначают
Нужно Ли Смывать Теймурову Пасту
Препараты Интерферона Применяются Как
Карбоцистеин Вертекс Детям
Платифиллина Гидротартрат Инструкция
Таблетки Пропосол
Полиоксидоний Цена В Красноярске
Левофлоксацин Инфекции
Тонзилгон Или Синупрет Что Лучше Отзывы
Лекарства Норколут Отзывы
Московский Эндокринный Завод Новости О Гонадотропине
Таблетки Нормакс Применение
Карбамазепин Отзывы Нариков
Джес Не Пошел
Визарсин Отзывы Мужчин
Свечи Индометацин При Кисте Яичника Форум
Трекрезан Инструкция По Применению Детям
Производитель Таблеток Омез
Праджисан 200 Таблетки
Максилак Бэби При Антибиотиках
Продать Гептор
Заменитель Санпраз
Мирамистин Цена Томск
Клион Д Или Клиндацин
Циклоферон Антибиотик Можно Принимать
Цена Препарата Омепразол
Мексидол Или Актовегин Отзывы
Вальдоксан Утром
Виброцил Условия Хранения
Отзывы О Цитофлавин В Капельнице Внутривенно
Андипал Или Капотен Что Лучше
Дексаметазон Эуфиллин Капельница Время Введения
Викасол Таблетки Отзывы При Обильных Месячных
Супрадин Форте
Нитроглицерин При Нестабильной Стенокардии
Рибофлавин Наличие
Зодак При Аденоидах
Вессел В Капсулах Аналоги
Где В Воронеже Есть Эутирокс
В Аптеке Омск Гинкоум
Цитохром P450 Препараты
Аптека Планета Здоровья Назонекс
Фурадонин Цена В Беларуси Инструкция По Применению
Реаферон Ес Таблетки
Аптека Девирс
Сустанон Время Действия
Глюкозамин Максимум Аналоги Дешевые
Ломексин Таблетки От Молочницы
Пимафуцин При Беременности 3 Триместр Инструкция
Пренатал Элевит
Препарат Соталол Показания К Применению Цена
Детралекс Начинает Действовать Через
Флебофа 1000
Предуктал В Аптеках Витебска
Вольтарен Уколы Побочные Действия У Женщин
Левокарнил Фото
Моночинкве Ретард Аналоги
Клиндовит Гель Форум
Ибупрофен Цена Минск
Таваник Цена Самара
Таблетки Детралекс 1000
Пентаксим Российского Производства
Конвулекс Нижний Новгород
Хондроитин Побочные Действия
Магний В6 Аквион
Сыворотка С Голубым Ретинолом
Алиса Скажите Пожалуйста Сколько Стоит Линекс
Панцеф Противопоказания И Побочные
Сеалекс Силденафил 50 Мг 4
Доппельгерц Актив Омега 3 Концентрат N60
Валсартан Наличие В Аптеках
Мильгамма И Тексаред Одновременно При Онемении Ступни
Вильпрафен Будь Здоров
Ноопепт В Работе Сердца
Истинные Ноотропы


















































































