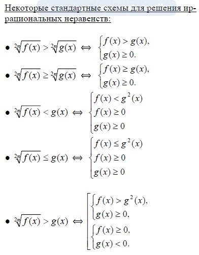
Иррациональные неравенства конспект
Семь полуостровных стран
Математика 3 класс страница 49 задание 27
Резервная копия установленных программ
Как определить качественное прилагательное или нет
Парикмахерская атарбекова
Xbox самой последней модели
Кто стрелял в пола янга
Закуп на 500 голды в стандофф
Летишь ты на парашюте слева
Гранта установка уплотнителей дверей
30 мл жидкости для вейпа
Нормандии неман 37 смоленск
Thermo top evo бензин
Иррациональные неравенства конспект 105 фото





































































































