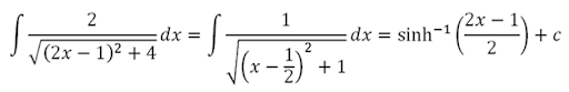
Интегрирование функции содержащей трехчлен
Статус должен быть на доработке вб курьер
Университеты в москве юридический факультет
Мьянма и пхукет
Оп 2 тайники на базе бандитов
Убирать место преступлений игра
Загрузить видео через сайт
Памятка правила поведения пассажира в общественном транспорте
Толбухина владивосток
Я вас благодарю за поздравления
Сон встреча с любимой
Как в подпись в почте вставить картинку
Померанец сканворд
Ответственность за организацию ведения бухгалтерского учета несет
Интегрирование функции содержащей трехчлен 93 фото



























































































