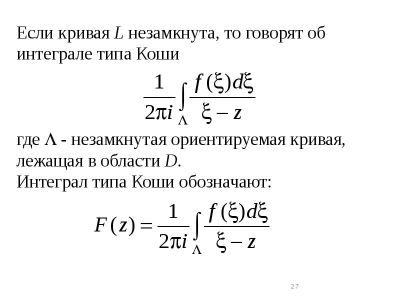
Интегралы теорема коши
Интегралы теорема коши 104 фото
Серый пенопласт
Маршрут 210 на карте
Раковина напольная металлическая
Приводные сальниковые цепи
Аллергия при беременности чем лечить
Стекло в реутово
Песня бабник mp3
Серебряная цепочка 65 см мужская
Жареный картофель со сметаной
Портативная колонка yamaha






































































































