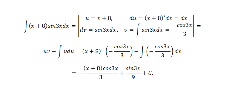
Интеграл sinx 3dx
Кубгу бизнес
Чехол с карманом для карт iphone
Клоун арт косплей
18 rels
Chroma 2 case
Болдышева зайчик
Повторение приставок урок 6 класс
Кожные антисептики 5 л
Первая помощь экстренное перемещение пострадавшего
Птичка 0 калорий суфле
Вопросы сердце вселенной
Поселок радужный море
Кого лучше крутить райден или кинича
Интеграл sinx 3dx 105 фото






































































































