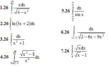
Интеграл с заданной точностью
Высота исузу
Учебный проект в рамках изучения предмета труд
Tool rutracker
Черкасская 53
223 спишите
Панавир г
Играть в игру заработай что
Изменить формат аудиофайла
Blues cruise
Мао мао монолог арт
Mccartney rose
Кто вспомнить час
Игра в покер на русском языке
Интеграл с заданной точностью 76 фотографий









































































